2002. MK 92. szám helyesbítés
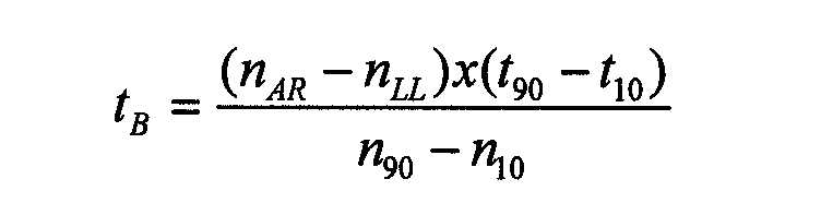
Helyesbítés: A Magyar Közlöny 2002. évi 91. számában megjelent, a gépkocsik környezetvédelmi felülvizsgálatáról és ellenőrzéséről szóló 7/2002. (VI. 29.) GKM–BM–KvVM együttes rendelet 6. számú mellékletének 5. pontjában szereplő képlet kimaradt. A kimaradt képlet a következő:

(Nyomdahiba)
- Hatályos
- Már nem hatályos
- Még nem hatályos
- Módosulni fog
- Időállapotok
- Adott napon hatályos
- Közlönyállapot
- Indokolás
