1107/B/2009. AB határozat
1107/B/2009. AB határozat*
2011.02.28.
A MAGYAR KÖZTÁRSASÁG NEVÉBEN!
Az Alkotmánybíróság jogszabály alkotmányellenességének utólagos vizsgálatára irányuló indítványok tárgyában meghozta a következő
h a t á r o z a t o t:
Az Alkotmánybíróság a földgáz rendszerhasználati díjak megállapításáról szóló 31/2009. (VI. 25.) KHEM rendelet 5. § (1)–(2) bekezdése, a 12. § (2) bekezdése, a 2. számú melléklet I/b) alpontja és a 3. számú melléklet 4. pontja, valamint a 7. számú melléklete alkotmányellenességének megállapítására és megsemmisítésére irányuló indítványokat elutasítja.
I n d o k o l á s
I.
1. Az Alkotmánybírósághoz három indítvány érkezett, melyek a földgáz rendszerhasználati díjak megállapításáról szóló 31/2009. (VI. 25.) KHEM rendelet (a továbbiakban: Díjr.) egyes rendelkezései alkotmányellenességének megállapítását és visszamenőleges hatályú megsemmisítését kérték, utólagos normakontroll keretében. A folyamatban levő ügyeket – azok tárgyi összefüggése miatt – az Alkotmánybíróság ideiglenes ügyrendjéről és annak közzétételéről szóló, többször módosított és egységes szerkezetbe foglalt 2/2009. (I. 12.) Tü határozat (a továbbiakban: Ügyrend, ABK 2009. január, 3.) 28. § (1) bekezdése alapján az Alkotmánybíróság egyesítette, és egy eljárásban bírálta el.
2. Két földgázelosztó gazdasági társaság – teljesen egyező tartalmú indítványban – az Díjr.-nek a rendszerirányítási díjakat szabályozó 5. § (1)–(2) bekezdését, a 2. számú melléklet 4. pontját, valamint a 3. számú melléklet 4. pontját kérte megsemmisíteni arra hivatkozással, hogy azok az Alkotmány 2. § (1) bekezdésébe ütköznek, valamint – magasabb rendű jogszabállyal fennálló ellentét miatt – az Alkotmány 37. § (3) bekezdését is sértik.
Álláspontjuk szerint a rendszerüzemeltetőket (mint amilyenek az indítványozók) nem terheli a rendszerirányítási díj – mely a földgázszállítási, -elosztási és -tárolási díjjal együtt a rendszerhasználati díj része – megfizetésének kötelezettsége, mert ezt a jogszabály pusztán a rendszerhasználóknak írhatja elő jogszerűen. Ennek indokaként előadták, hogy a rendszerhasználó és a rendszerüzemeltető fogalmát a földgázellátásról szóló 2008. évi XL. törvény (a továbbiakban: Get.) egyértelműen elkülöníti. Elismerték, hogy ugyan a fizetési kötelezettség alanyát a Get. 105. § (1) bekezdése nem határozza meg – csak annyit mond, hogy a földgázrendszer használatért rendszerhasználati díjat kell fizetni –, azonban a Get. egyéb rendelkezéseinek összevetéséből az indítványozók értelmezése szerint egyértelműen megállapítható, hogy ilyen díj megfizetésére kizárólag a rendszerhasználók lehetnek kötelesek. Emiatt a Díjr. 5. § (1) bekezdését a Get. 105. § (1) bekezdésével ellentétesnek találták, így azt az Alkotmány 37. § (3) bekezdésébe ütközőnek vélték. Utaltak arra, hogy a rendszerüzemeltetőknek olyan szolgáltatásért kell fizetniük, amiért a Díjr. hatályba lépése előtt fizetési kötelezettség nem terhelte őket, melyet a jogbiztonság követelményébe ütközőnek véltek.
Az indítványozók azt is sérelmesnek tartották, hogy a rendszerirányítási szolgáltatásokat a rendszerirányító nem a rendszerüzemeltetők részére nyújtja, rendszerirányítási díj megfizetésére mégis kötelesek, mely szerintük szintén a jogbiztonság követelményével ellentétes.
Az indítványozók emellett a támadott rendelkezések jogbizonytalanságot előidéző belső ellentmondására is felhívták a figyelmet. A Díjr. 3. számú melléklete 4. pontjának 4.1. alpontja szerint ugyanis a rendszerirányítási szolgáltatás igénybevétele és a rendszerirányítási díj megfizetése a gázpiac minden, az együttműködő földgázellátó rendszert igénybevevő és azt működtető szereplője számára kötelező. Ugyanakkor a Díjr. 5. § (1) bekezdésének a)–d) pontjaiban szereplő felsorolás hiányos volta miatt egyes rendszerhasználók (kereskedők, egyetemes szolgáltatók) mentesülnek a díjfizetés alól, melyet véleményük szerint semmi sem indokol.
Emellett az indítványozók szerint a Díjr. 5. § (1) bekezdése azért sérti a jogalkotásról szóló 1987. évi XI. törvény (a továbbiakban: Jat.) 8. § (1) bekezdését, ezen keresztül az Alkotmány 37. § (3) bekezdését, mert a Get. 133. § (1) bekezdésének 2. pontjában kapott felhatalmazás kereteit a jogalkotó túllépte, amikor nemcsak a rendszerhasználókat, hanem a rendszerüzemeltetőket is díjfizetésre kötelezte. E körben azt is sérelmesnek tartották, hogy a rendszerirányítási díjnak átalánydíjkénti meghatározása nem felel meg a Get. 105. § (2) és (3) bekezdésében foglalt árképzési elveknek (átláthatóság, arányosság, engedélyes indokolt működési tőkeköltsége). A Díjr.-ből sem a rendszerirányítási díj elemei, sem az indokolt költség meghatározása, sem azok mértéke nem derül ki, annak kizárólag az összege került meghatározásra, ami a jogbiztonság követelményével ellentétes.
Végül az indítványozók a díjfizetés keletkezése időpontjának meghatározását is alkotmányellenesnek vélték. Az, hogy a jogalkotó nem rögzítette egyértelműen, hogy a fizetési kötelezettség kizárólag 2009. július 1-jétől terhelheti a rendszerüzemeltetőket „veszélyezteteti a jogbiztonságot”. Ugyanis a rendelet alkalmazhatóságának kezdő időpontja csak abból vezethető le, hogy az új földgázelosztási működési engedélyek 2009. július 1. napjától léphettek hatályba. Ez az indítványozók szerint a Jat. 12. § (2) bekezdése sérelmét eredményezi, mely miatt a Díjr. támadott rendelkezései az Alkotmány 37. § (3) bekezdésébe ütköznek.
3. A harmadik indítványozó – szintén földgázelosztással foglalkozó gazdasági társaság – A Díjr. 12. § (2) bekezdésének, valamint a 7. számú mellékletének alkotmányellenességét állította arra hivatkozással, hogy az az Alkotmány 2. § (1) bekezdésébe, valamint a 37. § (3) bekezdésébe ütközik.
A Get. 146. § (1) bekezdése rögzíti, hogy a földgázelosztás díjából származó árbevételt az elosztói engedélyesek között az elosztóvezetékeken végzett földgázelosztás indokolt költségei arányában kell megosztani. Ennek érdekében a miniszter által a földgáz rendszerhasználati díjakkal együtt rendeletben kihirdetett számítási módszer szerint meghatározott kiegyenlítő fizetéseket kell végrehajtani. Erről azonban a Díjr. a hatálybalépésekor nem rendelkezett. E mulasztás felszámolása érdekében került megalkotásra a Díjr. módosításáról szóló 41/2009. (VIII. 31.) KHEM rendelet, mely – „az érintett piaci engedélyesekkel történt egyeztetést követően” – 2009. augusztus 31. napján került kihirdetésre és 2009. október 1. napján lépett hatályba. Azonban a Díjr. e módosítását érintette a földgázárakkal kapcsolatos egyes miniszteri rendeletek módosításáról szóló 53/2009. (X. 6.) KHEM rendelet (kihirdetés: 2009. október 6. hatályba lépés: 2009. október 7.). Az indítványozó ebben a tekintetben azzal érvelt, hogy az érintett szakmai szervezetekkel való egyeztetés nélkül megalkotott módosítás „alapvető változást hozott az első módosítás által beiktatott kiegyenlítő fizetési mechanizmus során alkalmazandó számítási módszer tekintetében”. Az indítványozó szerint a Díjr. módosított 12. § (2) bekezdése a kihirdetést (2009. október 6.) megelőző időszakra (2009. január 1.–2009. június 30.) állapít meg kötelezettséget, ami a Jat. 12. § (2) bekezdésébe ütköző módon visszaható hatályú jogalkotást valósít meg, sértve ezzel az Alkotmány 2. § (1) bekezdését. Utalt arra, hogy az e módosításra felhatalmazó Get. 146. § 2008. június 26. napjával, míg a Get.-nek a Díjr. megalkotására vonatkozó felhatalmazása 2008. szeptember 15. napjával lépett hatályba, azaz a törvényhozó megfelelő időt biztosított a miniszter számára a végrehatási rendelet 2009. január 1. előtti megalkotására.
Mivel a Díjr. 12. § (2) bekezdése 2009. október 6. napján került kihirdetésre és 2009. október 7. napján lépett hatályba, továbbá mivel az e rendelkezés alapján eljáró Magyar Energia Hivatal (a továbbiakban: Hivatal) 2009. október 15. napjáig kellett, hogy határozatot hozzon, a kellő felkészülési időt az indítványozó szerint a jogalkotó sem az érintett szervezeteknek, sem a Hivatalnak mint jogalkalmazónak nem biztosította. A Hivatalnak mindössze 8 nap állt rendelkezésre a határozatának meghozatalára, ezért a szabályozást „elfogadhatatlannak és a jogállamiság követelményeivel összeegyeztethetetlennek”, így alkotmányellenesnek tartotta.
Emellett a Díjr. elosztói engedélyesek közötti kiegyenlítő fizetések mértékét előíró számítási képletet (Díjr. 7. számú melléklet) a Get. 105. § (4) bekezdésében és a 146. § (1) bekezdésében, valamint az Alkotmány 37. § (3) bekezdésében foglaltakkal is ellentétesnek tartotta.
Előadta, hogy a földgázelosztási díjnak az elosztás indokolt költségei arányában történő felosztását előíró Get. rendelkezéseit a Díjr. nem veszi figyelembe, ugyanis a képlet nincs tekintettel az elosztóvezeték indokolt értékcsökkenésére, az elosztó működési és tőkeköltségére, valamint az elosztóvezeték indokolt hálózati veszteségére. Mivel a Díjr. szerinti díjtételek minden földgázelosztó tekintetében azonosak, azonban az ismertetett körülmények különbözőek, azért egyes elosztók a kiegyenlítő kifizetésből nyereségre tesznek szert, mások veszteséget szenvednek el. Emiatt – figyelembe véve továbbá a regionális adottságból eredő eltéréseket is – a kiegyenlítő mechanizmus a kitűzött cél elérésére alkalmatlan, az elosztás indokolt költségeinek figyelembe vételét előíró Get. 105. § (4) bekezdésével, valamint a 146. § (1) bekezdésével pedig ellentétes is a Díjr. 7. számú melléklete. Erre tekintettel az indítványozó a támadott rendelkezések megsemmisítését kérte.
4. Az indítványok beadását követően a Díjr. támadott rendelkezései tartalmilag ugyan nem változtak, azonban a Get. egyes, az indítványozók által felhívott rendelkezései módosultak. Az Alkotmánybíróság az indítványozókat felhívta kérelmük esetleges módosítására, pontosítására. Az indítványozók kérelmeiket lényegében változatlan tartalommal fenntartották, újabb jogszabályi rendelkezések alkotmányellenességének megállapítását és megsemmisítését nem kérték.
Az Alkotmánybíróság beszerezte a nemzeti fejlesztési miniszter véleményét.
II.
1. Az Alkotmánynak az indítványokkal érintett rendelkezései:
„2. § (1) A Magyar Köztársaság független, demokratikus jogállam.”
„37. § (3) A Kormány tagjai törvényben vagy kormányrendeletben kapott felhatalmazás alapján feladatkörükben eljárva rendeletet adnak ki, amelyek törvénnyel és kormányrendelettel nem lehetnek ellentétesek. A rendeleteket a hivatalos lapban ki kell hirdetni.”
2. A Get.-nek az indítványokkal érintett rendelkezései:
„105. § (1) Az együttműködő földgázrendszer használatért
a) földgázszállítási díjat,
b) rendszerirányítási díjat,
c) földgázelosztási díjat,
d) földgáztárolási díjat
(a továbbiakban együtt: rendszerhasználati díjak) kell fizetni. Az egyes rendszerhasználati díjak a díj alapjául szolgáló költségszerkezetnek megfelelő díjelemekből állhatnak.
(2) A rendszerhasználati díjaknak, a csatlakozási díjnak és a külön díj ellenében végezhető egyéb szolgáltatások díjainak meg kell felelniük az átláthatóság, az arányosság és a megkülönböztetés-mentesség elvének. Nem sérti a megkülönböztetés-mentesség elvét az, ha az egyetemes szolgáltatásra jogosult fogyasztók az önálló érdekérvényesítő képesség terén fennálló, a többi felhasználóhoz képest hátrányosabb helyzetének ellensúlyozása érdekében a rendszerhasználati díjak az egyetemes szolgáltatásra jogosultak részére differenciáltan kerülnek meghatározásra.
(3) A rendszerhasználati díjakat a hatékonyan működő engedélyes gazdálkodó szervezetek indokolt működési és tőkeköltsége, és összehasonlító elemzések alapján kell meghatározni, úgy hogy a szabályozás által érintett engedélyeseket gazdálkodásuk hatékonyságának, és az általuk nyújtott szolgáltatás minőségének folyamatos javítására ösztönözze. Az indokolt költségek meghatározásának részletes szabályait a Hivatal javaslata alapján a miniszter rendeletben állapítja meg. A Hivatal a javaslat kidolgozása során figyelembe veszi az érintett engedélyesek véleményét is.
(4) A földgázelosztási díjból származó árbevételt a földgázelosztók között az e törvény hatálybalépésekor meglévő elosztóvezetékeken végzett földgázelosztás indokolt költségei arányában kell megosztani. Ennek érdekében a földgázelosztók között szükség esetén – külön jogszabályban meghatározott módon, az együttműködő földgázrendszer használatáért fizetendő díjakkal együtt kihirdetett eljárási rend és számítási módszer szerint meghatározott – kiegyenlítő fizetéseket kell végrehajtani. A Hivatal által meghatározott összegű kiegyenlítő fizetéseket a Hivatal által megbízott pénzügyi szervezet teljesíti a földgázelosztóknak a földgázelosztói befizetések beszedésére és a kiegyenlítő fizetések teljesítésére elkülönítetten vezetett számláról.”
„133. § (1) Felhatalmazást kap a miniszter, hogy rendeletben állapítsa meg
2. a csatlakozási díjakat, a rendszerhasználati díjakat, a földgázelosztási díjból származó árbevétel földgázelosztók közötti megosztására vonatkozó kiegyenlítő mechanizmus részletes szabályait, a díjalkalmazás feltételeit – különös tekintettel az ellátásbiztonságra és a földgáz műszaki vagy minőségi jellemzőire –, a díjszabályozás kereteit, a rendszerhasználati díjakra az engedélyesek által történő javaslattétel részletes szabályait az indokolt költségek meghatározásának módját, a szolgáltatások minősége javításának a rendszerhasználati díjakon keresztül történő ösztönzése szabályait, valamint a szolgáltatások minőségének romlása esetén a rendszerüzemeltetők által érvényesíthető alacsonyabb rendszerhasználati díjakat, (…)”
„146. § (1) A földgázelosztás díjából származó árbevételt a Get. szerinti elosztói engedélyesek között az e § hatálybalépésekor meglévő elosztóvezetékeken végzett földgázelosztás indokolt költségei arányában kell megosztani. Ennek érdekében a Get. szerinti elosztói engedélyesek között – külön jogszabályban meghatározott módon, a miniszter által a földgáz rendszerhasználati díjakkal együtt rendeletben kihirdetett számítási módszer szerint meghatározott – kiegyenlítő fizetéseket kell végrehajtani.”
3. A Díjr.-nek az indítványokkal érintett és támadott rendelkezései:
„5. § (1) A rendszerirányítási szolgáltatás igénybevételéért e rendelet szerinti díjat köteles fizetni
a) a szállítói, az elosztói és a tárolói engedélyes, kivéve a GET 4. §-a szerinti engedélyest,
b) a földgáztermelő,
c) a kapacitás-lekötési szerződéssel rendelkező felhasználó, valamint
d) a Magyar Szénhidrogén Készletező Szövetség.
(2) A rendszerirányítási díj díjtételeit a 2. melléklet I.b) alpontja, áralkalmazási feltételeit a 3. melléklet 4. pontja tartalmazza.”
„12. § (1) A GET 146. § (4) bekezdése szerint a 2009. január 1-jétől 2009. június 30-áig tartó időszakra vonatkozó, a GET 105. § (4) bekezdése szerinti kiegyenlítő fizetések összegét, valamint a befizetésre kötelezett és a kifizetésre jogosult elosztói engedélyeseket a Hivatal állapítja meg 2009. október 15-ig.
(2) Az (1) bekezdés szerinti összeget az egyes elosztói engedélyesek a 2009. egyes negyedéveinek földgázelosztási díjaival számolt éves árbevételek elosztott mennyiséggel súlyozott értékének, valamint a 2009. évet érintő gázévek indokolt (indexált) árbevétel igényének szakmailag indokolható korrigált, az elosztási mennyiséggel súlyozott értékének a különbségeként, a 7. melléklet szerinti képletek alapján kell kiszámítani. Szakmailag indokolható korrekció:
a) az elosztói engedélyesek elismert költségének kiigazítása az elosztói engedélyesek által összesen realizálható árbevétel és a részükre összesen elismert költség arányában,
b) az elszámolási különbözet elosztói engedélyesenkénti megállapítása az összesen elismert elszámolási különbözet alapul vételével.”
A rendszerhasználat (legmagasabb) hatósági díjai (általános forgalmi adó nélkül)
I. b) Rendszerirányítási díj: 1 000 000 Ft/év.”
A rendszerhasználati díjak áralkalmazási feltételei
4. Rendszerirányítási díjrendszer
„4. Rendszerirányítási díjrendszer
4.1. A rendszerirányítási szolgáltatás igénybevétele és a rendszerirányítási díj megfizetése a gázpiac minden, az együttműködő földgázellátó rendszert igénybe vevő és azt működtető szereplője számára kötelező.
4.2. A rendszerirányítási díj átalánydíj, melyet minden díjfizetésre kötelezett egységesen megfizet.
4.3. Díjfizetési kötelezettség keletkezik
a) a GET szerinti – szállítói, elosztói, tárolói – engedélyes tevékenységet végző társaságok esetén az engedély hatálybalépésének időpontjától,
b) a kapacitás-lekötési szerződéssel rendelkező felhasználók esetében a rendszerhasználati szerződés hatálybalépésének időpontjától,
c) földgáztermelő esetében a rendszerhasználati szerződés hatálybalépésének időpontjától vagy az együttműködő földgázellátó rendszerhez történő csatlakozással egy időben,
d) a Magyar Szénhidrogén Készletező Szövetség esetén a stratégiai készletek rendelkezésre állásának időpontjától.”
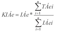
Az elosztói engedélyesek közötti kiegyenlítő fizetéseket a következő képletek szerint kell meghatározni:
KFe = TÁe – KIÁe
ahol:
KFe: az adott elosztói engedélyesre vonatkozó kiegyenlítő fizetés összege,
TÁe: az adott elosztói engedélyes árbevétele, amelyet a 2009. évi elosztott mennyiséggel és a naturália adatokkal kell kiszámítani,

ahol:
IÁe: az elosztói engedélyesnek a 12. § (2) bekezdés b) pontja szerinti indokolt, a 2009. évi földgázelosztási díjak változását is figyelembe vevő árbevétel-igénye,
i: az elosztói index.
IÁe = Áe + Eke
ahol:
Áe: a 2009. évet érintő gázévekre indexált árbevétel igényeknek az iparági átlagos elszámolási különbözet mértékével számított költséggel csökkentett értéke,
EKe: szakértő által, adott elosztói engedélyesre meghatározott elszámolási különbözet mértékével számított költségigény.”
III.
Az indítványok nem megalapozottak.
Az Alkotmánybíróság mindenekelőtt megállapította, hogy a Get. 105. § (2) bekezdését az egyes energetikai témájú törvények valamint az épített környezet alakításáról és védelméről szóló 1997. évi LXXVIII. törvény módosításáról szóló 2010. évi CLXXXI. törvény 11. §-a kiegészítette azzal, hogy „[n]em sérti a megkülönböztetés-mentesség elvét az, ha az egyetemes szolgáltatásra jogosult fogyasztók az önálló érdekérvényesítő képesség terén fennálló, a többi felhasználóhoz képest hátrányosabb helyzetének ellensúlyozása érdekében a rendszerhasználati díjak az egyetemes szolgáltatásra jogosultak részére differenciáltan kerülnek meghatározásra”.
A Díjr. támadott jogszabályi rendelkezései az indítványok benyújtása óta érdemben nem változtak, a Díjr. 2. számú mellékeltének 4. alpontjának számozását – tartalmának megváltoztatása nélkül – az egyes földgázár-szabályozással összefüggő miniszteri rendeletek módosításáról 18/2010. (XII. 3.) NFM rendelet 12. § (1) bekezdése I/b. alpontra módosította.
Az Alkotmánybíróság emellett megállapította azt is, hogy Jat.-ot 2011. január 1. napjától felváltotta a jogalkotásról szóló 2010. évi CXXX. törvény (a továbbiakban: Jat.új.).
Az Alkotmánybíróság következetes gyakorlata szerint utólagos normakontroll iránti kérelem esetén az indítvány elbírálásakor hatályos jogszabályok tekintetében folytatja le az alkotmányossági vizsgálatot.
1. Az Alkotmánybíróság először azt vizsgálta meg, hogy a Díjr. 5. § (1) bekezdése és a Get. 105. § (1) bekezdésének egybevetéséből következik-e az az indítványozói állítás, hogy a rendszerirányítók rendszerhasználati díj fizetésére nem kötelesek. Az indítványozó szerint ugyanis a rendszerirányítókat (mivel ők nem fogyasztók) ilyenfajta fizetési kötelezettség nem terhel(het)i, így a támadott rendelkezések egymással ellentétesek, emiatt az Alkotmány 37. § (3) bekezdésébe ütköznek.
A Get. 105. § (1) bekezdése kimondja, hogy az együttműködő földgázrendszer használatért földgázszállítási, rendszerirányítási, földgázelosztási és földgáztárolási díjat (a továbbiakban együtt: rendszerhasználati díjak) kell fizetni.
A díjfizetés kötelezettjét a Díjr. 5. § (1) bekezdése a következőképpen határozza meg: a rendszerirányítási szolgáltatás igénybevételéért a szállítói, az elosztói és a tárolói engedélyes, a földgáztermelő, a kapacitás-lekötési szerződéssel rendelkező felhasználó, valamint a Magyar Szénhidrogén Készletező Szövetség díjat köteles fizetni. Ez alól a fizetési kötelezettség alól a Get. 4. §-a egyetlen jogalanyt, a Hivatal által a földgázszállítók közül kijelölt engedélyest, mint egyedüli rendszerirányítót (Földgázszállító Zártkörűen Működő Részvénytársaság, a továbbiakban: FGSZ Zrt.) mentesít a jogszabály. Ezen túlmenően a Díjr. 3. számú mellékletének 4.1. pontja szerint a rendszerirányítási szolgáltatás igénybevétele és a rendszerirányítási díj megfizetése a gázpiac minden, az együttműködő földgázellátó rendszert igénybevevő és azt működtető szereplője számára kötelező.
A Get. 3. § 14. pontja (az elszámolási mérés fogalmának feloldása kapcsán) határozza meg a rendszerüzemeltető fogalmát. Eszerint annak a földgázszállító, a földgázelosztó vagy földgáztároló minősül.
A Get. 3. § 51. pontja szerint rendszerhasználónak pedig az minősül, aki a szállító- vagy az elosztóvezetékbe, valamint a földgáztárolóba kapacitáslekötési szerződés alapján földgázt betáplál, valamint abból földgázt vételez. A rendszerhasználónak tehát a jogszabály a kapacitáslekötési szerződést kötő felhasználókat (korábbi elnevezéssel fogyasztókat) tekinti.
E rendelkezések összevetéséből az állapítható meg, hogy a rendszerüzemeltető egyfelől működtetője, másfelől használója is az együttműködő földgázrendszernek. Ezt támasztják alá a Díjr. 9. § (1)–(3) bekezdései, miszerint a szállítóvezetéken keletkező hálózati veszteség pótlása (beszerzése) a szállítói engedélyes, az elosztóvezetéken keletkező hálózati veszteség pótlása (beszerzése) az elosztói engedélyes, illetve a tárolókban keletkező tárolói veszteség pótlása (beszerzése) a tárolói engedélyes kötelezettsége. Ebben a vonatkozásban tehát mindhárom rendszerüzemeltető egyben betáplálónak is minősül, azaz a Get. 3. § 51. pontja szerint egyben rendszerhasználóként is viselkedik.
A fentiek alapján megállapítható, hogy a Díjr. 5. § (1) bekezdése és a Get. 105. § (1) bekezdése egymással nem állnak ellentétben, azaz nem sértik az Alkotmány 37. § (3) bekezdését sem. Az Alkotmánybíróság ebben a kérdésben végül utal a miniszteri válasz azon megjegyzésére, miszerint: a „kapacitás-lekötési szerződésben a rendszerüzemeltető bekalkulálja, érvényesíti a rendszerirányítási díjat a rendszerhasználó terhére, így végső soron a rendszerhasználó, más szóval felhasználó fizeti közvetve vagy közvetlenül a díjat”. Emiatt az Alkotmánybíróság az indítványokat ebben a tekintetben elutasította.
2. Az indítványozók azt is sérelmezték, hogy a rendszerüzemeltetőknek olyan szolgáltatásért kell fizetniük, amiért a Díjr. hatályba lépése előtt fizetési kötelezettség nem terhelte őket (visszaható hatályú jogalkotás).
A Díjr. előtt hatályban volt, a földgáz rendszerhasználati díjak megállapításáról szóló 70/2003. (X. 28.) GKM rendelet 3. § (4) bekezdése értelmében a rendszerirányítási díjat a közüzemi nagykereskedő fizeti meg a rendszerirányítói engedélyes részére. Ugyanezen rendelet 3. § (5) bekezdése alapján a rendszerhasználati díj fedezetét a közüzemi szolgáltató által a közüzemi nagykereskedőnek fizetett közüzemi hatósági ár tartalmazza. Ezt a díjat pedig végül – annak áthárítása folytán – a rendelet 3. § (6) bekezdése alapján a közüzemi fogyasztó viseli.
Ennek értelmében megállapítható, hogy az elosztói engedélyes jogelődjének minősülő közüzemi szolgáltatókat 2009. július 1-jét megelőzően is terhelte a rendszerirányítási díj megfizetésének a kötelezettsége, ezért az indítványozó ezen hivatkozása nem megalapozott, így az Alkotmánybíróság az indítványokat ebben a tekintetben is elutasította.
3. Az Alkotmánybíróság ezt követően azt az indítványi hivatkozást vizsgálta meg, miszerint a rendszerüzemeltetők azért nem kötelesek a rendszerirányítási díj megfizetésére, mert a rendszerirányítási feladatokat a rendszerirányító nem a részükre nyújtja, ezért a rendszerirányító jogalap nélkül gazdagodik, ami a jogbiztonság követelményét sérti [Díjr. 5. § (1) bekezdése].
A rendszerirányító feladatait egyrészt a Get. 4–7. §-ai, másrészt a Get. végrehajtásáról szóló 19/2009. (I. 30.) Korm. rendelet 3. számú melléklete (az Üzemi és Kereskedelmi Szabályzat tartalmi követelményei) tartalmazzák. Ezek alapján megállapítható, hogy ezeket a feladatokat a rendszerirányító együttműködő földgázrendszer minden szereplője számára ellátja. E feladatok közé tartozik a Get. 6. § d) pontja szerinti azon kötelezettség is, miszerint a rendszerirányító a földgázellátási zavar vagy földgázellátási válsághelyzet esetén az együttműködő földgázrendszeren a szükséges korlátozásokat irányítja.
Ezekből a rendelkezésekből az következik, hogy nem helytálló az indítványozó azon állítása, hogy a rendszerirányító a rendszerüzemeltetők részére szolgáltatást nem nyújt. Éppen ellenkezőleg: a rendszerirányító – törvény alapján fennálló kötelezettségeken alapuló – tevékenysége a földgázrendszer valamennyi szereplője számára nélkülözhetetlen, koordinációs feladatainak maradéktalan ellátása nélkül egyetlen rendszerüzemeltető sem lenne képes jogszabályban rögzített faladatait teljesíteni. Emiatt a rendszerirányítási tevékenység ellenértékeként fizetendő átalánydíj minden, a jogszabályban meghatározott résztvevőt terhel.
Az Alkotmánybíróság ennek megfelelően az indítványt a Díjr. 5. § (1) bekezdése tekintetében is elutasította.
4. Az indítványozók szerint a Díjr. 3. számú melléklete 4. pontjának 4.1. alpontja ellentétben áll a Díjr. 5. § (1) bekezdésének a)–d) pontjaival, ugyanis szerinte egyes rendszerhasználók (kereskedők, egyetemes szolgáltatók) mentesülnek a díjfizetés alól, melyet szerinte semmi sem indokol.
Az indítványozó ezen érve azért téves, mert a földgázkereskedő és az egyetemes szolgáltató a Díjr. 5. § (1) bekezdésének c) pontja alapján kapacitás-lekötési szerződéssel rendelkező felhasználónak minősül, és ebbéli minőségében fizeti meg a rendszerirányítási díjat. Emiatt az Alkotmánybíróság a jogbiztonság sérelmét ebben az esetben sem állapította meg, így az indítványt elutasította.
5.1. Emellett az indítványozók szerint a Díjr. 5. § (1) bekezdése azért sérti az Alkotmány 37. § (3) bekezdését, mert a Get. 133. § (1) bekezdésének 2. pontjában kapott felhatalmazás kereteit a jogalkotó túllépte, amikor nemcsak a rendszerhasználókat, hanem a rendszerüzemeltetőket is díjfizetésre kötelezte. Ez az indítványozó szerint a Jat. 8. § (1) bekezdésébe, azaz a Jat.új. 5. §-ába ütközik.
A Get. 133. § (1) bekezdésének 2. pontja felhatalmazást ad a miniszternek arra, hogy rendeletben állapítsa meg egyebek mellett a rendszerhasználati díjakat, a díjalkalmazás feltételeit – különös tekintettel az ellátásbiztonságra és a földgáz műszaki vagy minőségi jellemzőire –, a díjszabályozás kereteit.
Ahogyan az jelen határozat indokolásának III. 1. pontjában kifejtésre került, az együttműködő földgázrendszer használatáért minden használó, ideértve a fogyasztókat és a rendszerüzemeltetőket is rendszerirányítási díjfizetésre köteles. Ennek a jogszabályon alapuló kötelezettségnek a részletszabályait határozza meg a Díjr., melynek alapja a Get. 133. § (1) bekezdésében foglalt felhatalmazás. Ezek szerint a miniszter rendeletében nemcsak a rendszerhasználati díj mértékéről rendelkezhet, hanem a felhatalmazás kiterjed a díjalkalmazás feltételeire, valamint a díjszabályozás kereteire is. Ebben az összefüggésben a Díjr. azon szabálya, amely a fizetésre kötelezettek körét meghatározza, nem lépi túl a Get.-ben kapott felhatalmazás kereteit.
5.2. Az indítványozók azt is sérelmesnek tartották, hogy a rendszerirányítási díjnak átalánydíjkénti meghatározása [Díjr. 2. melléklet I/b) pontja és a 3. melléklet 4. pont 4.2. alpontja] nem felel meg a Get. 105. § (2) és (3) bekezdésében foglalt árképzési elveknek.
A Get. 105. § (1) bekezdésének második mondata akként rendelkezik, hogy az egyes rendszerhasználati díjak a díj alapjául szolgáló költségszerkezetnek megfelelő díjelemekből állhatnak. A Get. 105. § (2) bekezdése szerint a rendszerhasználati díjaknak meg kell felelniük az átláthatóság, az arányosság és a megkülönböztetés-mentesség elvének. Emellett nem sérti a megkülönböztetés-mentesség elvét az, ha az egyetemes szolgáltatásra jogosult fogyasztók az önálló érdekérvényesítő képesség terén fennálló, a többi felhasználóhoz képest hátrányosabb helyzetének ellensúlyozása érdekében a rendszerhasználati díjak az egyetemes szolgáltatásra jogosultak részére differenciáltan kerülnek meghatározásra. Ugyanezen rendelkezés (3) bekezdés értelmében e díjakat a hatékonyan működő engedélyes gazdálkodó szervezetek indokolt működési és tőkeköltsége, és összehasonlító elemzések alapján kell meghatározni, úgy hogy a szabályozás által érintett engedélyeseket gazdálkodásuk hatékonyságának, és az általuk nyújtott szolgáltatás minőségének folyamatos javítására ösztönözze.
Önmagában azzal, hogy a jogalkotó a rendszerirányítási díjat átalánydíjként határozta meg, melyet minden díjfizetésre kötelezett egységesen megfizet, nem sértette meg a Get. 105. §-át. A rendszerirányítási díj meghatározása az irányítási és koordinációs feladatok ellátásával kapcsolatos sajátosságokra tekintettel átalánydíjas formában is lehetséges. Emiatt önmagában a díjképzés nem törvény- és alkotmánysértő, ezért az Alkotmánybíróság az indítványt elutasította.
6. Végül az indítványozók a díjfizetés keletkezése időpontjának meghatározását is alkotmányellenesnek vélték, ugyanis álláspontjuk szerint az, hogy a jogalkotó nem rögzítette egyértelműen, hogy a fizetési kötelezettség kizárólag 2009. július 1-jétől terhelheti a rendszerüzemeltetőket „veszélyezteteti a jogbiztonságot” [Jat.új. 2. § (2) bekezdés].
A jogszabályok alkotmányosságának elbírálásakor hatályos Jat.új. 2. § (2) bekezdése értelmében a jogszabály a kihirdetését megelőző időre nem állapíthat meg kötelezettséget, és nem nyilváníthat valamely magatartást jogellenessé.
A Get.-nek a rendszerirányítási díjfizetési kötelezettséget előíró 105. §-a a Get.-et hatályba léptető 147. § (6) bekezdése értelmében 2009. július 1-jén lépett hatályba. Ugyanezen a napon lépett hatályba a Díjr. egésze is.
Ezzel összefüggésben mutat rá az Alkotmánybíróság arra, hogy a Get. 140. § (6) bekezdése alapján a Hivatal intézkedik a Get. szerinti engedélyek kiadásáról, illetve megfelelő módosításáról.
Ebből következően a fizetési kötelezettség is kizárólag a hatályba lépés napjától terheli a rendszerüzemeltetőket.
A fenti rendelkezések alapján megállapítható, hogy a jogszabályok nem visszaható hatályúak, visszamenőlegesen nem állapítanak meg a jogalanyok számára kötelezettségeket, és a hatályba lépésük napja is egyértelműen megállapítható.
Erre tekintettel az Alkotmánybíróság az indítványt ebben a vonatkozásban is elutasította.
Az Alkotmánybíróság a harmadik indítvány vizsgálata során az alábbiakat állapította meg:
7. Az indítványozó szerint a Díjr. módosított 12. § (2) bekezdése a kihirdetést (2009. október 6.) megelőző időszakra (2009. január 1.–2009. június 30.) állapít meg kötelezettséget, ami a Jat.új. 2. § (2) bekezdésébe ütköző módon visszaható hatályú jogalkotást valósít meg, sértve ezzel az Alkotmány 2. § (1) bekezdését.
A Get. 105. § (4) bekezdése értelmében a földgázelosztási díjból származó árbevételt a földgázelosztók között az e törvény hatálybalépésekor meglévő elosztóvezetékeken végzett földgázelosztás indokolt költségei arányában kell megosztani. Ennek érdekében kiegyenlítő fizetéseket kell végrehajtani. Ennek az elosztói kiegyenlítő mechanizmusnak az volt a célja, hogy az országosan egységes elosztási díjak mellett az egyes társaságok a területi-fogyasztói különbségekből eredő eltéréseiket rendezni tudják. A fizetési kötelezettség alapját a Get. 146. § (4) bekezdése teremtette meg, a díjszámítás módját pedig a Díjr. támadott – 2009. október 7. napjától hatályos – 12. § (2) bekezdése határozta meg.
A Get. 146. § (4) bekezdése akként rendelkezik, hogy a kiegyenlítő fizetéseket első alkalommal a 2009. január 1-jétől 2009. június 30-ig tartó időszakra vonatkozóan kell végrehajtani. A Get. ezen szabálya azonban 2008. június 26. napján – a Get. hatályba lépésével egyidejűleg – lépett hatályba.
Mivel a fizetési kötelezettséget a Get. 146. §-a alapozta meg, ezért az sérthette volna meg a visszaható hatályú jogalkotás tilalmát, ha e rendelkezés állapított volna meg a hatályba lépését megelőző időszakra kötelezettséget. Ennek azonban éppen az ellenkezője állapítható meg, ugyanis a Get. e szabálya a jövőre nézve állapít meg kötelezettséget.
A Díjr. támadott 12. § (2) bekezdése – mint számítási módszer – közvetlenül nem alapoz meg fizetési kötelezettséget, az csak egy, már korábban hatályba lépett rendelkezés technikai végrehajtását, a fizetendő összegek pontos kiszámítását segíti elő.
Emiatt a Díjr. 12. § (2) bekezdése nem ütközik a visszaható hatályú jogalkotás tilalmába, ezért az e rendelkezés alkotmányellenességének megállapítására irányuló indítványt az Alkotmánybíróság elutasította.
8. Az indítványozó szerint a jogalkotó a Hivatalnak, mint jogalkalmazónak nem biztosított kellő felkészülési időt, mivel a Hivatalnak 2009. október 15. napjáig (8 nap alatt) kellett a határozatokat meghoznia, ugyanis a Díjr. 12. § (2) bekezdése 2009. október 6. napján került kihirdetésre és 2009. október 7. napján már hatályba is lépett. Ez az indítványozó szerint a jogállamiság követelményeivel összeegyeztethetetlen.
A Díjr. támadott rendelkezése [Díjr. 12. § (2) bekezdés] a Hivatal számára állapított meg eljárási határidőt. A rendelkezésre álló iratok alapján a Hivatal az eljárását 2009. október 1. napján indította meg, lehetőséget biztosított az eljárás alanyainak a nyilatkozattételre, és a határozatát a törvény által előírt határidő utolsó napján, 2009. október 15. napján hozta meg és adta postára.
Emiatt a jogállami jogbiztonság követelményének a sérelme nem volt megállapítható, így az Alkotmánybíróság az indítványt ebben a vonatkozásban is elutasította.
9. Emellett az indítványozó a Díjr. elosztói engedélyesek közötti kiegyenlítő fizetések mértékét előíró számítási képletet (Díjr. 7. számú melléklet) a Get. 105. § (4) bekezdésében és a 146. § (1) bekezdésében, így az Alkotmány 37. § (3) bekezdésében foglaltakkal is ellentétesnek tartotta. Előadta, hogy a képlet nincs tekintettel az elosztóvezeték indokolt értékcsökkenésére, az elosztó működési és tőkeköltségére, valamint az elosztóvezeték indokolt hálózati veszteségére, emiatt a kiegyenlítő mechanizmus a kitűzött cél elérésére alkalmatlan.
A Díjr. 12. § (2) bekezdésének a) és b) pontjai szerint a szakmailag indokolható korrekció: az elosztói engedélyesek elismert költségének kiigazítása az elosztói engedélyesek által összesen realizálható árbevétel és a részükre összesen elismert költség arányában, valamint az elszámolási különbözet elosztói engedélyesenkénti megállapítása az összesen elismert elszámolási különbözet alapul vételével.
Emellett a miniszter a válaszában kifejezetten kitér arra, hogy nincs és nem is lehet közvetlen determináció az elosztók nyereségessége és a kiegyenlítő befizetések, illetve az azok alapjául szolgáló számítási módszertan között.
Végül az Alkotmánybíróság utal arra, hogy a Díjr. 10/A. § (2) bekezdésének f) és h) pontjai szerint a kiegyenlítő fizetések számítása során figyelembe kell venni a (hálózati) elszámolási különbözet – elosztói engedélyesek szerint differenciált – elismert mértékét, valamint a fajlagosan alacsony kihasználtságú elosztási rendszeren elosztók esetében az átlagos elosztási mennyiségre történő korrekciót is.
Ennek megfelelően az Alkotmánybíróság megállapította, hogy a Díjr. 7. számú melléklete nem ellentétes a Get. 105. § (4) bekezdésével és a 146. § (1) bekezdésével sem, így az nem sérti az Alkotmány 37. § (3) bekezdésében foglaltakat, ezért az indítványt ebben a tekintetben is elutasította.
Budapest, 2011. február 28.
|
Dr. Bihari Mihály s. k., |
Dr. Lenkovics Barnabás s. k., |
||
|
alkotmánybíró |
előadó alkotmánybíró |
||
|
||||
Dr. Lévay Miklós s. k., |
||||
alkotmánybíró |
||||
*
A határozat az Alaptörvény 5. pontja alapján hatályát vesztette 2013. április 1. napjával. E rendelkezés nem érinti a határozat által kifejtett joghatásokat.
- Hatályos
- Már nem hatályos
- Még nem hatályos
- Módosulni fog
- Időállapotok
- Adott napon hatályos
- Közlönyállapot
- Indokolás
