• Tartalom

1/2012. (I. 20.) MNB utasítás

1/2012. (I. 20.) MNB utasítás

a Magyar Nemzeti Bank Szervezeti és Működési Szabályzatáról1

2012.01.21.

A Magyar Nemzeti Bankról szóló 2011. évi CCVIII. törvény 67. § (5) bekezdésében, továbbá a jogalkotásról szóló 2010. évi CXXX. törvény 23. § (4) bekezdés g) pontjában biztosított jogkörömnél fogva – figyelemmel a 2011. évi CCVIII. törvény 49. § (4) bekezdés c) pontjában, a 2001. évi LVIII. törvény 50. § (1) bekezdésében, valamint a Vezetői bizottság működési szabályai 3. § (1) bekezdésének b) pontjában foglaltakra – a Magyar Nemzeti Bank működésének rendjét a következők szerint szabályozom.

1. § A Magyar Nemzeti Bank szervezeti felépítését és működésének rendjét – a Vezetői bizottság ülésén hozott 3/2012. (01.16.VB) számú határozat alapján – a jelen utasítás mellékletét képező Szervezeti és Működési Szabályzatban foglaltak szerint állapítom meg.

2. § (1) Ez az utasítás a közzétételét követő napon lép hatályba azzal, hogy rendelkezéseit 2012. január 17-től kell alkalmazni.

(2) Hatályát veszíti a Magyar Nemzeti Bank Szervezeti és Működési Szabályzatáról szóló 2011-14. elnöki utasítás.

Melléklet az 1/2012. (I. 20.) MNB utasításhoz


A Magyar Nemzeti Bank Szervezeti és Működési Szabályzata

Figyelemmel a Magyar Nemzeti Bankról szóló 2011. évi CCVIII. törvényben (a továbbiakban: MNB tv.) és a gazdasági társaságokról szóló 2006. évi IV. törvényben (a továbbiakban: Gt.) foglaltakra, a Magyar Nemzeti Bank Szervezeti és Működési Szabályzatát (a továbbiakban: SZMSZ) a következők szerint állapítom meg:
Az SZMSZ rendeltetése, hogy a Magyar Nemzeti Bank (a továbbiakban: Bank) szervezeti felépítésének, működése belső rendjének és a külső kapcsolatainak meghatározásával szolgálja a Bank MNB tv.-ben meghatározott cél- és feladatrendszere megvalósíthatóságát.

I. ÁLTALÁNOS RÉSZ

I.1. A Bank jogállása, feladatai

I.1.1. A Bank jogállása, cégjogi formája
A Bank a Magyarország központi bankja, a Központi Bankok Európai Rendszerének tagja. A Bank részvénytársasági formában működő jogi személy.
A Bank részvényei az állam tulajdonában vannak. Az államot mint részvénytulajdonost az államháztartásért felelős miniszter képviseli.
A Bank mint jogi személy saját cégneve alatt jogokat szerezhet és kötelezettségeket vállalhat, így különösen az MNB tv.-ben foglalt korlátozásokkal tulajdont szerezhet, szerződést köthet, pert indíthat és perelhető. A szerződésekből keletkező jogok és kötelezettségek a Bankot mint társaságot illetik meg, illetve terhelik. A Bank perbeli cselekményeit jogi képviselő útján végzi.
A Bank önálló adójogi és társadalombiztosítási jogalanyisággal rendelkezik.

I.1.2. A Bank alapítása
A Bank a Magyar Nemzeti Bank létesítéséről és szabadalmáról szóló 1924. évi V. törvénycikk szabályai szerint 1924. május 24-én alakult meg. Alapszabálya, majd Alapító Okirata a Magyar Nemzeti Bankról szóló, többször módosított 1924. évi V. törvénycikk, az 1950. évi 26. törvényerejű rendelet, az 1956. évi 8. törvényerejű rendelet, az 1967. évi 36. törvényerejű rendelet, az 1991. évi LX. törvény, valamint a 2001. évi LVIII. törvény rendelkezéseinek megfelelően módosult. A Bank alapító okiratát a részvényes állapítja meg, melyet be kell mutatni az Országgyűlésnek.

I.1.3. A Bank legfontosabb cégjogi adatai, feladatai
A társaság cégneve: Magyar Nemzeti Bank
Az MNB tv. értelmében a Bank cégnevét a cégjegyzékbe nem kell bejegyezni. A részvénytársaság elnevezést a Bank cégnevében nem kell feltüntetni.
A Bank székhelye: 1054 Budapest, Szabadság tér 8–9.
A Bank Logisztikai Központja: 1239 Budapest, Európa utca 1.
A Bank levelezési címe: 1850 Budapest
A Bank feladatai és tevékenységi köre:
A Bank feladatait és tevékenységi körét az MNB tv. állapítja meg.

I.2. A Bank szervei

A Bank szervei: a Monetáris Tanács és a felügyelőbizottság. A Bankban közgyűlés és igazgatóság nem működik.

I.2.1. A Monetáris Tanács
A Monetáris Tanács a Bank legfőbb döntéshozó szerve; hatáskörét és feladatait az MNB tv. és a Bank Alapító Okirata, működésének rendjét a Monetáris Tanács ügyrendje tartalmazza.

I.2.2. A felügyelőbizottság
A felügyelőbizottság a Bank folyamatos tulajdonosi ellenőrzésének szerve; hatáskörét és feladatait az MNB tv., a Gt., valamint a Bank Alapító Okirata tartalmazza. A felügyelőbizottság működését egyebekben az általa megállapított és a részvénytulajdonos részvényesi határozatával jóváhagyott felügyelőbizottsági ügyrend szabályozza.
A felügyelőbizottság mellett – ellenőrzési tevékenységének segítése érdekében – háromfős titkárság működik, amely az FB munkájával kapcsolatos egyeztetési, szervezési és egyéb titkársági feladatokat lát el, gondoskodik a felügyelőbizottság munkavégzéséhez szükséges adminisztratív feltételek megteremtéséről, napi munkakapcsolatot tart a Bank munkaszervezetének képviseletében eljáró Jogi szolgáltatásokkal, a Belső ellenőrzés vezetőjével, valamint szervezi és koordinálja a felügyelőbizottság kapcsolattartását az Országgyűléssel, a Nemzetgazdasági Minisztériummal és az Állami Számvevőszékkel.

I.3. A Bank működése törvényességének ellenőrzése

I.3.1. A könyvvizsgáló, az Állami Számvevőszék
A könyvvizsgáló, illetve az Állami Számvevőszék a Bank működésének törvényességét ellenőrzi. A könyvvizsgáló hatáskörét és feladatait az MNB tv., a Gt., valamint a Bank Alapító Okirata tartalmazza. Az Állami Számvevőszéknek a Bank feletti ellenőrzési jogköréről az Állami Számvevőszékről szóló törvény rendelkezik.

I.4. A Bank munkaszervezete

A Bank szervezeti felépítését az SZMSZ elválaszthatatlan részét képező melléklet tartalmazza.

I.4.1. A munkaszervezet vezetése
A munkaszervezet vezetése az egyes vezetési szintekhez fűződő szabályozási, döntéshozatali, munkáltatói jogkör gyakorlási, felügyeleti hatáskörök összessége, ideértve a tervezést, a szervezést, az utasítás jogát, az ellenőrzést és a számonkérést, valamint a Bank elsődleges célja elérésére tett intézkedések, illetve a jegybank alapvető feladatai megvalósításának biztosítása mellett a szervezeti és szakmai viszonyok, illetve tevékenységek összehangolását, felelős irányítását, az erőforrás-allokációt, a működés dologi feltételeinek biztosítását, a belső szervezeti struktúra kialakítását, a működés rendjének meghatározását, valamint a szervezetfejlesztéssel kapcsolatos teendők folyamatos ellátását és a mindezzel együtt járó felelősséget.
A vezetés magában foglalja a vezetők azon általános felelősségét, hogy a Bank iránti lojalitás jegyében/keretében és a zökkenőmentes működés elősegítése érdekében hatékonyan közreműködjenek a Bank célkitűzéseinek és terveinek elérésében, a Bank vagyonának megőrzésében és gyarapításában, hogy az általuk felügyelt/irányított szervezeti egységek a jogszabálynak és a Bank belső szabályainak megfelelően működjenek és végezzék előírt feladataikat, hogy biztosítsák a munkavégzés feltételeit, a munkavégzéshez szükséges megfelelő körülményeket, gondoskodjanak a jó munkahelyi légkör kialakításáról, a munkafegyelem és határidők betartásáról és betartatásáról, jóhiszeműen és hatékonyan együttműködjenek és megfelelő kapcsolatot tartsanak fenn más vezetőkkel és munkatársakkal, valamint hogy biztosítsák az irányításuk alá tartozó munkavállalók szakmai fejlődésének lehetőségét.
A vezetők általános felelőssége kiterjed továbbá az általuk felügyelt/irányított terület és folyamatok munkafolyamatba épített ellenőrzéseinek kialakítására, működtetésére (vezetői ellenőrzés), a szabályszerű működés folyamatos kontrollálása érdekében.
A munkaszervezet vezetése az egyes vezetési szintek felügyelő vagy irányító szerepe útján valósul meg.

I.4.2. A munkaszervezet vezetési szintjei
A munkaszervezet vezetési szintjei a következők:
– elnök,
– alelnökök,
– ügyvezető igazgató(k),
– szervezeti egységek vezetői.

I.4.2.1. Az elnök
A Bank élén elnök áll, akit a miniszterelnök javaslatára a köztársasági elnök nevez ki hatéves időtartamra. Az elnök felelős a Monetáris Tanács döntéseinek végrehajtásáért és az MNB működésének irányításáért. Az elnök a munkaszervezet elsőszámú vezetője, aki a Bankkal munkaviszonyban áll, és a Gt. 247. §-a alapján vezető tisztségviselőnek minősül.
Az elnök feladatköre:
– irányító, szervező és ellenőrző tevékenység a Bank mint munkaszervezet tekintetében,
– a Monetáris Tanács ülésein az elnöki teendők ellátása,
– a Monetáris Tanács álláspontjának nyilvánosságra hozatala,
– kapcsolattartás a tulajdonos képviseletében eljáró, az államháztartásért felelős miniszterrel, a miniszter utólagos tájékoztatása az MNB működésének irányításával összefüggő, a működés szempontjából kiemelten fontos döntéseiről,
– a Bank képviselete a Kormány és a Gazdasági Kabinet ülésein, valamint kiemelkedő jelentőségű ügyekben más szervek előtt is, így azoknak a nemzetközi szervezeteknek az ülésein, amelyeknek a Bank tagja,
– a jogszabályból, a Bank Alapító Okiratából, a részvényesi és monetáris tanácsi határozatokból eredő teendők ellátása,
– gondoskodás arról, hogy a Bank működése megfeleljen a hatályos jogszabályoknak, a Bank Alapító Okiratának, a részvényesi határozatoknak, valamint arról, hogy a Bank a rendelkezésre álló erőforrásokat célszerűen és hatékonyan használja fel,
– a közvetlenül alá tartozó szervezeti egységek szakmai irányítása, illetve felügyelete azzal, hogy a Bank belső ellenőrzési szervezetének irányítását csak a felügyelőbizottság hatáskörébe nem tartozó feladatok tekintetében látja el,
– a felügyelete alá tartozó szervezeti egységek vezetői számára rendszeres tájékoztató és értékelő értekezletek tartása.
Az elnök közvetlen felügyelete alá tartozó szervezeti egységeket az SZMSZ melléklete tartalmazza.
A Bank elnökét akadályoztatása esetén a Monetáris Tanács elnökhelyettese helyettesíti. A Monetáris Tanács elnökhelyttesét az alelnökök közül a Monetáris Tanács választja meg.

I.4.2.2. Az alelnökök
A Bank alelnökeit a köztársasági elnök nevezi ki és menti fel, megbízatásuk hat évre szól. Az alelnökök feladatköréről a Monetáris Tanács dönt, a szakmai felügyeletük alá tartozó, jegybanki alapfeladatokat ellátó szervezeti egységeket, illetve tevékenységeket a Bank elnöke határozza meg.
Az alelnökök tagjai a Monetáris Tanácsnak.
Az alelnökök feladatköre:
– a Monetáris Tanács tagjaként részvétel az alapvető jegybanki feladatok ellátásában,
– a Monetáris Tanács által tárgyalandó előterjesztések elkészíttetése,
– a Monetáris Tanács ülései egyes napirendi pontjainak előterjesztése,
– az általuk felügyelt szervezeti egységek által készített vagy azokat érintő, az elnök elé szánt előterjesztések, javaslatok képviselete,
– az elnök által meghatározott szervezeti egységek szakmai irányítása, illetve felügyelete, ennek keretében részükre feladatok kijelölése,
– felelősségi körükben, illetve az elnök által adott felhatalmazás keretei között a Bank képviselete harmadik személyekkel szemben,
– részvétel a Bank éves és középtávú intézményi célkitűzéseinek és munkatervének kidolgozásában és azok egységekre történő lebontásában,
– belső szabályok alkotása,
– a felügyelete alá tartozó szervezeti egységek vezetői számára rendszeres tájékoztató és értékelő értekezletek tartása,
– részvétel a döntéshozatalt támogató testületek munkájában.
Az egyes alelnökök szakmai felügyelete alá tartozó szervezeti egységeket az SZMSZ melléklete tartalmazza.
Az alelnököket akadályoztatásuk esetén – utólagos beszámolási kötelezettség mellett – a munkaszervezeten belüli irányítás/felügyelet szempontjából az általuk felügyelt szervezeti egységek vezetői a maguk irányította területek vonatkozásában helyettesítik, a monetáris tanácsi feladataik, illetve az elnök által hatáskörükbe utalt kérdésekben való döntéshozatal kivételével. A döntéshozatalt támogató testületekben a döntésre jogosult személy helyettesítésének szabályait az elnök állapítja meg. Amennyiben a testület működési szabályaiban a helyettesítésről az elnök nem rendelkezik, a testület által megvitatott kérdésekben a döntéshozatalra jogosult személy akadályoztatása esetén az elnök dönt. A döntéshozatalt támogató testületek nem döntéshozó tagjaként az alelnökök akadályoztatásuk esetén egymást helyettesítik.

I.4.2.3. Az ügyvezető igazgató(k)
A Bank banküzemi működését biztosító, nem jegybanki alapfeladatot ellátó, és közvetlenül nem az elnök felügyelete alatt álló szervezeti egységeket ügyvezető igazgató felügyeli. Az ügyvezető igazgató az elnök közvetlen felügyelete alatt tevékenykedik.
Az ügyvezető igazgatót távolléte vagy akadályoztatása esetén – utólagos beszámolási kötelezettség mellett – az általa esetileg vagy általános jelleggel megbízott szervezetiegység-vezető helyettesíti.
Az ügyvezető igazgató feladatköre:
– az elnök által meghatározott szervezeti egységek szakmai irányítása, illetve felügyelete, ennek keretében részükre feladatok kijelölése,
– az általa felügyelt szervezeti egységek által készített vagy azokat érintő, az elnök elé szánt előterjesztések, javaslatok előterjeszthetőségének megítélése és képviselete,
– felelősségi körében, illetve az elnök által adott felhatalmazás keretei között a Bank képviselete harmadik személyekkel szemben,
– részvétel a Bank éves és középtávú intézményi célkitűzéseinek és munkatervének kidolgozásában, és azok egységekre történő lebontásában,
– belső szabályok alkotása,
– a felügyelete alá tartozó szervezeti egységek vezetői számára rendszeres tájékoztató és értékelő értekezletek tartása,
– részvétel a döntéshozatalt támogató testületek munkájában.

I.4.2.4. A szervezeti egységek és vezetőik
A szervezeti egységek működési formáját a Szervezeti és Működési Szabályzatban az elnök határozza meg az alábbi kritériumok alapján:
– a szervezeti egység létszáma,
– az ellátott tevékenység mibenléte, illetve annak kockázata,
– a feladatkörök elhatárolhatósága, egymáshoz való viszonya,
– a Bank stratégiai céljában való közreműködés súlya,
– a Bank arculatának kialakításában betöltött szerepe.
A Bank szervezeti egységein belül szervezeti alegységként osztály, illetve csoport hozható létre.
Az osztály a szervezeti egységen belül, homogén, jól elhatárolható feladatok ellátására létrehozott szervezeti alegység. Osztály létrehozására és megszüntetésére az elnök jogosult.
Csoport: Azoknál a szervezeti egységeknél, amelyeken belül jelentős és egymástól jól elhatárolható feladatkörök vannak, csoportokra tagolhatók, ha ez a munka jobb megszervezése érdekében indokolt. Csoportot a szervezeti egység vezetője hozhat létre, a közvetlen felügyeletet ellátó vezetője és az Emberi erőforrások, szervezés és tervezés vezetőjének egyetértése esetén.
Nem minősülnek szervezeti egységnek az elnök által létrehozott, időszakosan működő, egy cél megvalósítására hivatott, általában több szervezeti egység munkavállalóját tömörítő kiemelt projektek.
A szervezeti egységek végzik az SZMSZ-ből adódó, a döntéshozatalt támogató testületek és egyéb bizottságok elnökeinek döntéséből fakadó, valamint belső szabállyal rájuk bízott feladatokat.
Vezetőjük által:
– részt vesznek a banki döntések előkészítésében, megalapozásában, kidolgozásában, ennek érdekében a döntéshozatalt támogató testületek, valamint a felügyelőbizottság üléseire előterjesztéseket és tájékoztatókat készítenek,
– elkészítik a feladatkörüket érintő előterjesztéseket, tájékoztatókat, jogszabály- és egyéb tervezeteket, illetve véleményezik azokat,
– javaslatot tesznek a minisztériumok, közigazgatási szervek által készített előterjesztésekkel, tervezetekkel kapcsolatos jegybanki álláspont kialakítására az elnöknek, illetőleg az illetékes alelnöknek,
– teljesítik az információs és tájékoztatási rendszerben részükre előírt feladatokat,
– feladataik ellátása során együttműködnek más szervezeti egységekkel mindazokban az ügyekben, amelyekben ezt az ügy körültekintő elintézése indokolja,
– kidolgozzák a feladatkörüket érintően kiadandó belső utasítások tervezetét, kidolgozzák a belső szabályban rájuk rótt feladatok végrehajtásához szükséges technológiai szabályokat, és megteszik a szükséges egyéb intézkedéseket,
– megadják más szervezeti egységnek a kiadott utasítások végrehajtásához szükséges információkat és az egyéb szakmai segítséget,
– összegyűjtik és elemzik az operatív feladatok ellátása során szerzett tapasztalatokat, és indokolt esetben kezdeményezik a szabályozás módosítását vagy más szükséges intézkedések megtételét,
– gondoskodnak a Központi Bankok Európai Rendszere szakbizottságaiba delegáltak felkészítéséről.
A szervezeti egységek vezetőinek fő feladata a szervezeti egység és annak az SZMSZ szerinti feladatai ellátásának irányítása. Felelősek a szervezeti egység feladatainak határidőben, minőségileg kifogástalan, magas szakmai színvonalon történő teljesítéséért.
Saját szervezeti egységüket illetően a szervezeti egységek vezetői alakítják ki és szervezik meg a munkafolyamatokat (ideértve a rendkívüli helyzetekben végrehajtandókat is) és részt vesznek azok korszerűsítésében és fejlesztésében, valamint dokumentálásában. Belső szabályokat alkotnak. Az irányításuk alatt álló szervezeti egység munkavállalói számára rendszeresen tájékoztató és értékelő értekezleteket tartanak. Részt vesznek a döntéshozatalt támogató testületek és egyéb bizottságok munkájában.
A szervezeti alegység vezetőjének feladatköre és felelőssége az általa irányított szervezeti alegység tekintetében megegyezik a szervezeti egységet vezetők feladatkörével és felelősségével, azzal, hogy a hatáskörük az I.5.1.8. pontban foglaltak szerint korlátozott, továbbá – meghatározott kivételektől eltekintve – nem vesznek részt a döntéshozatalt támogató testületek munkájában.
A szervezeti egység, illetve alegység vezetőjét távolléte vagy akadályoztatása esetén – utólagos beszámolási kötelezettség mellett – az általa esetileg vagy általános jelleggel megbízott munkavállaló helyettesíti.
A szervezeti egységek vezetőinek adományozható címeket és az adományozás feltételeit belső szabály rendezi.

I.4.3. A döntéshozatalt támogató testületek
A döntéshozatalt támogató testületek a Bank MNB tv.-ben meghatározott cél- és feladatrendszere megvalósítása, illetve a Bank működése irányításának támogatása érdekében létrehozott konzultatív testületek (bizottságok), amelyek feladata az elnök, az alelnökök és az ügyvezető igazgató közötti munkamegosztás szerint hatáskörükbe tartozó kérdések megtárgyalása és az azokban való döntéshozatal támogatása, a döntések transzparenciájának biztosítása. A döntéshozatalt támogató testületek ülésein megtárgyalt kérdésekben a döntést a bizottság elnöke (elnök, alelnök, ügyvezető igazgató) hozza meg.
A döntéshozatalt támogató testületeket az elnök hozza létre, legfontosabb működési szabályaikat, ideértve a testületek összetételének meghatározását is, az elnök állapítja meg, aki folyamatosan figyelemmel kíséri működésüket.
A Bankban az alábbi döntéshozatalt támogató testületek működnek:
a) Vezetői bizottság (VB),
b) Implementációs bizottság (IB),
c) Pénzügyi rendszert felvigyázó bizottság (PRFB),
d) Beruházási és költséggazdálkodási bizottság (BKB),
e) Eszköz-forrás bizottság (ALCO),
f) Operatív válságkezelő bizottság(OVB).
A Vezetői bizottság a Bank operatív vezetését támogató testület, amely a Bank működésének irányításáért felelős elnököt segíti a döntéshozatalban, biztosítva egyben az elnök döntéseinek transzparenciáját. A VB elnöke a Bank elnöke. A Vezetői Bizottság működési szabályait önálló ügyrend tartalmazza.
Az Implementációs bizottság feladata, hogy a Monetáris Tanács döntéseinek végrehajtásával kapcsolatos döntési jogkörök gyakorlása során a döntéshozatalt a döntések előkészítésével, javaslatokkal, véleményezéssel támogassa. Az IB elnöke a Bank elnöke.
A Pénzügyi rendszert felvigyázó bizottság feladata, hogy az intézményrendszer, a pénzügyi piacok, a pénzügyi infrastruktúra működését érintően a bizottság elnökének hatáskörébe tartozó jegybanki döntéseket a döntések előkészítésével, javaslatokkal, véleményezéssel támogassa. A PRFB elnöke a Pénzforgalom és értékpapír-elszámolást felügyelő alelnök.
A Beruházási és költséggazdálkodási bizottság feladata, hogy a beruházásokkal és a költséggazdálkodással kapcsolatos döntési jogkör gyakorlása során, részben az elnök hatáskörébe tartozó beruházási és költséggazdálkodási döntéshozatalának támogatásaként, a döntéshozatalt a döntések előkészítésével, javaslatokkal, véleményezéssel támogassa. A BKB elnöke a banküzem működését biztosító szervezeti egységeket felügyelő ügyvezető igazgató.
Az Eszköz-forrás bizottság (ALCO) feladata, hogy a Monetáris Tanács és az elnök IB keretein belül hozott döntéseinek kapcsán a Bank mérlegét érintő, devizában végzett tevékenységgel kapcsolatos döntési jogkörök gyakorlása során a döntéshozatalt a döntések előkészítésével, javaslatokkal, véleményezéssel támogassa. Az ALCO elnöke a Pénzügyi elemzéseket felügyelő alelnök.
Az Operatív válságkezelő bizottság feladata, hogy a hitelintézetek válságának felmerüléséhez kapcsolódó döntési jogkörök gyakorlása során – a Monetáris Tanács által jóváhagyott alapelveknek megfelelően – a döntéshozatalt a döntések előkészítésével, javaslatokkal, véleményezéssel támogassa. Az OVB ülés keretében a testület tagjai megtárgyalják a válságszimulációs gyakorlat eredményét és tapasztalatait is. Az OVB elnöke a Bank elnöke.

I.4.4. A Bankban működő egyéb bizottságok
A döntéshozatalt támogató testületeken kívül a Bankban az alábbi bizottságok működnek:
a) Kríziskezelő Irányító Bizottság;
b) Támogatási bizottság,
c) Tudományos bizottság.
A Kríziskezelő Irányító Bizottság a Bank üzletmenetének folytonosságát veszélyeztető, az üzletmenet-folytonossági terv részleges vagy teljes aktiválását megkövetelő működési kockázati események következményeként kialakult helyzetben (krízishelyzet) a Bank munkaszervezetét irányító testület.
A Támogatási bizottság a Bank jóváhagyott támogatási célú ráfordításainak pénzügyi keretével gazdálkodó, az egyes támogatási kérelmekről dönteni jogosult testület.
A Tudományos Bizottság a Bank közgazdasági közéletben való aktív megjelenésének kialakítását és koordinálását, a Bankhoz érkező, kifejezetten szakmai jellegű támogatási igények elbírálását, illetve az alkalmazott kutatások szakterületeken átívelő együttműködési kereteinek kialakítását és fenntartását végző testület.
A bizottságok tagjait és legfontosabb működési szabályait a Bank elnöke állapítja meg.

I.5. A hatáskörök

A minden vezetőnek az általa felügyelt vagy irányított szervezeti egység feladatkörében intézkedési joga van. Az intézkedési jog magában foglalja a szabályozást, döntést, a munkáltatói jogkör gyakorlását, a felügyeletet és a közvetlen ügyintézést. Az intézkedési jogot jogszabály, SZMSZ, belső szabály vagy felettes korlátozhatja.
A szabályozási hatáskör a Bank munkaszervezetének egészére vagy annak meghatározott részére kötelező érvényű belső szabályok, technológiai eljárások kiadására vonatkozó jog.
Az operatív döntési hatáskör egyedi határozat meghozatalára szóló jog.
A munkáltatói jogkör a Munka Törvénykönyvéről szóló 1992. évi XXII. törvény szerinti munkaviszony létesítésére, megszüntetésére, a munkaviszonnyal összefüggő intézkedések megtételére irányuló jogosultság. A munkáltatói jogkör gyakorlóját a Bank Alapító Okirata határozza meg.
A felügyeleti jogkör a külső és belső szabályok betartásának, operatív döntések végrehajtásának, a munkaköri feladatok teljesítésének ellenőrzésére, a beszámoltatásra és az értékelésre vonatkozó jog.
A fizetés nélküli szabadság engedélyezésére – a Kollektív Szerződésben foglalt esetek kivételével – a munkavállaló munkaköre alapján érintett szervezeti egység vezetője jogosult.
A szabályozási, az operatív döntési, a munkáltatói, valamint a felügyeleti jogkör gyakorlására vonatkozó hatáskörök a Bank és munkaszervezetének irányítási szintjei között az alábbiak szerint oszlanak meg.

I.5.1.1. A Monetáris Tanács
Szabályozási hatáskör:
működési szabályainak megállapításán túl nincs
Operatív döntési hatáskör:
az MNB tv. és az ügyrendje szerint hatáskörébe tartozó kérdések eldöntése.
Munkáltatói jogkör:
nincs
Felügyeleti jogkör:
A hatáskörébe tartozó kérdések tekintetében az elnök és az alelnökök beszámoltatása.

I.5.1.2. A felügyelőbizottság
Szabályozási hatáskör:
működési szabályainak megállapításán túl nincs
Operatív döntési hatáskör:
az ellenőrzési terv jóváhagyása az MNB tv.-ben foglalt korlátozással.
Munkáltatói jogkör:
nincs
Felügyeleti jogkör:
A hatáskörébe tartozó ügyekben a Belső ellenőrzés szervezeti egység vezetőjének beszámoltatása az MNB tv.-ben foglalt korlátozásokkal.

I.5.1.3. Az elnök
Szabályozási hatáskör:
– az SZMSZ létrehozása és módosítása,
– a Monetáris Tanács döntéseinek, illetve a jogszabályok végrehajtására elnöki utasítások kiadása, amelyek alapvető iránymutatásokat, hatásköröket és felhatalmazásokat tartalmaznak,
– a döntése szerint hatáskörébe vont belső vagy a Bank ügyfeleire vonatkozó szabály vagy ezek alapelveinek megállapítása elnöki utasítás formájában,
– az alelnökök és az ügyvezető igazgató(k) szakmai felügyelete alá tartozó feladatkörök meghatározása, módosítása.
Operatív döntési hatáskör:
– az MNB tv. szerint,
– az általa felügyelt szervezeti egységek feladatkörét illetően a Központi Bankok Európai Rendszere szakbizottságaiba tagok kijelölése, illetve azok visszahívása;
– 500 millió forintot meghaladó értékű beszerzési eljárásokban döntéshozatal a költséggazda és a felhasználó szervezeti egység vezetőjével együttesen.
Munkáltatói jogkör:
– az alelnökök fölött azok kinevezése, felmentése és javadalmazásuk megállapítása kivételével,
– a közvetlen felügyelete alá tartozó szervezeti egységek vezetői fölött,
– az ügyvezető igazgató(k) fölött,
– közvetlen irányítása alatt álló, szervezeti egységhez nem tartozó munkavállalók felett,
– mindazon munkavállalók felett – ide nem értve a Monetáris Tanácsnak az MNB tv. 46. § (4) bekezdés c) pontja szerinti tagjait –, akik felett más nem gyakorol munkáltatói jogkört,
– előzetes véleményezési jog gyakorlása az alelnökök és az ügyvezető igazgató(k) felügyelete alá tartozó szervezetiegység-vezetők munkaviszonyának létesítésével és megszüntetésével kapcsolatos munkáltatói jogok és az éves teljesítményértékelésük tekintetében.
Felügyeleti jogkör:
a közvetlen felügyelete alá tartozó szervezeti egységek vezetőjének, az ügyvezető igazgatóknak és az alelnököknek a beszámoltatása.

I.5.1.4. Az alelnökök
Szabályozási jogkör:
– a szakmai felügyeletük alá tartozó szervezeti egységek tevékenységeivel összefüggő alelnöki utasítások kiadása
Operatív döntési hatáskör:
– döntéshozatalt támogató testületek elnökeként a 2001. évi LVIII. törvény 50. § (8) bekezdése alapján átruházott hatáskörben való döntéshozatal,
– az általa felügyelt szervezeti egységeket érintő valamennyi kérdésben való döntés, kivéve azokat, amelyeket jogszabály, SZMSZ, belső szabály vagy felettes vezetési szint más hatásköreként nevesít,
– projektmenedzsment módszert igénylő – de elnök (Vezetői bizottság elnöke) általi alapítást nem indokoló – esetekben projekt létrehozása,
– a felügyelete alá tartozó szervezeti egységek hatásköri, feladatköri vitáiban való döntés,
– a banki munkafolyamatok működése során hatáskörébe utalt ügyekben való döntés,
– az általa felügyelt szervezeti egységek feladatkörét illetően a Központi Bankok Európai Rendszere szakbizottságaiba tagok kijelölése, illetve azok visszahívása, kivéve ha az elnök saját hatáskörbe vonja a döntést.
Munkáltatói jogkör:
– a közvetlen szakmai felügyelete alá tartozó szervezeti egységek vezetői fölött,
– a közvetlen irányításuk alatt álló, szervezeti egységhez nem tartozó munkavállalók felett.
Felügyeleti jogkör:
A szakmai felügyelete alá tartozó területeket vezetők ellenőrzése és beszámoltatása, a döntéshozatalt támogató testületek keretein belül hozott határozatok végrehajtásának ellenőrzése, számonkérése.

I.5.1.5. Az ügyvezető igazgató(k)
Szabályozási hatáskör:
a közvetlen felügyelete alá tartozó szervezeti egységek feladatkörébe tartozó tevékenységek vonatkozásában ügyvezető igazgatói utasítások kiadása, a Számviteli Kézikönyv kivételével.
Operatív döntési hatáskör:
– döntéshozatalt támogató testület elnökeként a hatáskörébe tartozó ügyekben döntés,
– az általa felügyelt szervezeti egységeket érintő valamennyi kérdésben való döntés, kivéve azokat, amelyeket jogszabály, SZMSZ, belső szabály vagy felettes vezetési szint más hatásköreként nevesít,
– projektmenedzsment módszert igénylő – de elnök általi alapítást nem indokoló – esetekben projekt létrehozása,
– a felügyelete alá tartozó szervezeti egységek hatásköri, feladatköri vitáiban való döntés,
– a banki munkafolyamatok működése során hatáskörébe utalt ügyekben való döntés,
– az általa felügyelt szervezeti egységek feladatkörét illetően a Központi Bankok Európai Rendszere szakbizottságaiba tagok kijelölése, illetve azok visszahívása, kivéve ha az elnök saját hatáskörbe vonja a döntést,
– a 100 millió forintot meghaladó, de legfeljebb 500 millió forint értékű beszerzési eljárásokban döntéshozatal a költséggazda és a felhasználó szervezeti egység vezetőjével együttesen.
Munkáltatói jogkör:
– a közvetlen felügyelete alá tartozó szervezeti egységek vezetői fölött,
– a közvetlen irányítása alatt álló, szervezeti egységhez nem tartozó munkavállalók felett.
Felügyeleti jogkör:
– A szakmai felügyelete alá tartozó területeket vezetők ellenőrzése és beszámoltatása, a döntéshozatalt támogató testületek keretein belül hozott határozatok végrehajtásának ellenőrzése, számonkérése.

I.5.1.6. A szervezeti egység vezetője
Szabályozási hatáskör:
– az általa irányított szervezeti egységen belüli, továbbá a felelősségi körébe tartozó, más szervezeti egységeket is érintő munkafolyamatok szabályozása,
– az elnök közvetlen felügyelete alá tartozó szervezetiegység-vezetők a szervezeti egység feladatkörébe tartozó tevékenységek vonatkozásában, minden munkavállalóra kiterjedően, valamint a Számvitel szervezeti egység vezetője a Számviteli Kézikönyv vonatkozásában jogosult belső szabályt alkotni és szervezetiegység-vezetői utasításként kiadni.
Operatív döntési hatáskör:
– az általa irányított szervezeti egységet érintő valamennyi kérdésben való döntés, kivéve azokat, amelyeket jogszabály, SZMSZ, belső szabály vagy felettes vezetési szint más hatásköreként nevesít,
– az általa irányított szervezeti egységen belüli munkamegosztás ügyében történő döntés.
Munkáltatói jogkör:
– az irányítása alatt álló munkavállalók felett, belső szabályokban foglalt alapelvek figyelembe vételével.
Felügyeleti jogkör:
– rendszeresen ellenőrzi, hogy az irányítása alá tartozó szervezeti egységek munkavállalói a feladataikat teljesítik-e, értékeli tevékenységüket,
– ellenőrzi és beszámoltatja a hozzá tartozó szervezeti egységek munkavállalóit, ellenőrzési, véleményezési joga van a szervezeti egységhez tartozó valamennyi munkatársa tevékenységére vonatkozóan.

I.5.1.7. A szervezeti alegység (osztály) vezető hatásköre
Szabályozási hatáskör:
nincs
Operatív döntési hatáskör:
a vezetése alá tartozó szervezeti alegység munkájának megszervezésére korlátozott.
Munkáltatói jogkör:
az osztály munkavállalóinak értékelésére, béremelésére, jutalmazására való javaslattételre korlátozott.
Felügyeleti jogkör:
nincs
A szervezeti alegység vezetőjét a fentieken túl bárminemű hatáskör a szervezeti egység vezetőjének hatáskör-delegálása folytán illeti meg.

I.5.1.8. A kiemelt projekt vezetője
Operatív döntési hatáskör:
a projektre szánt emberi és technikai erőforrások felett történő rendelkezés.
Munkáltatói jogkör:
a projekten dolgozó munkavállalók értékelésére korlátozott.

I.5.2. Az aláírások, a kötelezettségvállalások és az utalványozások rendje
I.5.2.1. Az aláírások rendje
A cégjegyzés
A Bank írásbeli képviselete, a cégjegyzés – ideértve a bankszámla feletti rendelkezést is – akként történik, hogy a géppel vagy kézzel írt, előnyomott vagy nyomtatott – szervezeti egységre utaló toldat nélküli – cégnév (Magyar Nemzeti Bank) alá az elnök önállóan, minden más, cégjegyzési joggal felruházott munkavállaló közül kettő együttesen, a cégjegyzési hirdetményben szereplő formában írja alá a nevét. Az aláírás alatt a nevet és a beosztást előírt, előnyomott vagy nyomtatott módon fel kell tüntetni.
Az elnök, alelnökök cégjegyzési joga kinevezésen, más banki munkavállalók cégjegyzési joga munkakörön, illetve beosztáson vagy felhatalmazáson alapul.
Az együttes cégjegyzési jogosultság első- vagy másodhelyi aláírási jogot biztosít.
Az elsőhelyi aláírási joggal rendelkező cégjegyzésre jogosult munkavállaló első- és másodhelyi aláírási joggal rendelkező cégjegyzésre jogosult munkavállalóval egyaránt jogosult az együttes cégjegyzésre.
A másodhelyi aláírási joggal rendelkező cégjegyzésre jogosult munkavállaló kizárólag elsőhelyi cégjegyzésre jogosult munkavállalóval jogosult együttes cégjegyzésre.
Amennyiben az a szervezeti egység feladatainak ellátásához vagy a működés folyamatosságához szükséges, felhatalmazással a munkakörükből adódóan másodhelyi aláírási joggal rendelkező munkavállalók számára első-, illetve bármely munkavállaló számára első- vagy másodhelyi cégjegyzési jog adható.
Külön felhatalmazás nélkül kinevezésük, illetve munkakörük alapján illeti meg
a) elsőhelyi aláírási jog
aa) az elnököt,
ab) az alelnököket,
ac) az ügyvezető igazgató(ka)t,
ad) a szervezeti egységek vezetőit,
b) másodhelyi aláírási jog
a szervezeti egységek osztályainak vezetőit.
A cégjegyzésre történő felhatalmazást a Bank elnöke, akadályoztatása esetén a helyettesítésére jogosult alelnök (a Monetáris Tanács elnökhelyettese) adja meg a felhatalmazó okirat aláírásával.
A cégjegyzésre jogosult munkavállaló – amennyiben a cégjegyzésre történő felhatalmazás másként nem rendelkezik – a munkaköre szerint hatáskörébe és illetékességébe tartozó ügyekben jogosult cégjegyzésre.
A cégjegyzési jog a kinevezésen vagy munkakörön alapuló jogosultság esetén a jogosultságot biztosító esemény bekövetkeztének időpontjától, felhatalmazáson alapuló cégjegyzési jog esetén a felhatalmazásban meghatározott időponttól (amely nem lehet korábbi, mint a felhatalmazás megadásának időpontja), ennek hiányában a felhatalmazás megadásának időpontjától a cégjegyzési jog megszűnéséig áll fenn.
A cégjegyzési jog megszűnik
a) a kinevezésen alapuló cégjegyzési jog esetén az erre feljogosító tisztségből történő felmentés, a munkakörön és felhatalmazáson alapuló cégjegyzési jog esetén a munkaviszony megszűnése időpontjában, ha a megszűnést megelőzően a munkavállalót a munkavégzés alól felmentették, akkor a felmentés kezdő időpontjában,
b) a munkavállaló munkakörének a cégjegyzési jogosultságot érintő módosulásával,
c) 3 hónapot meghaladó tervezett távollét esetén a távollétet megelőző napon,
d) nem tervezett távollét esetén 3 hónap elteltével,
e) a felhatalmazás visszavonásával.
Új felhatalmazás esetén a korábbi cégjegyzési jogosultság az azt megalapozó felhatalmazás visszavonása nélkül is megszűnik.
Abban az esetben, ha a cégjegyzési jogosultság távollét miatt szűnt meg, és a munkavállaló kinevezése vagy munkaköre alapján jogosult a Bank cégét jegyezni, a munkába való visszatérésének időpontjától kezdődően az SZMSZ szerinti cégjegyzési jogosultság megilleti őt. Újabb felhatalmazás hiányában akkor sem illeti meg más tartalmú cégjegyzési jog a visszatérő munkavállalót, ha a korábbi cégjegyzési jogosultsága felhatalmazás alapján eltért az SZMSZ szerinti jogosultságtól.
A pénztárosi, a számfejtői és értéktárkezelői munkakört betöltő alkalmazottak – a csoportvezetők kivételével – nem hatalmazhatók fel cégjegyzésre.
Próbaidő alatt felhatalmazáson alapuló cégjegyzési jog nem adható.
Az egymással hozzátartozói viszonyban [Ptk. 685. § b) pont] lévő alkalmazottak együttesen nem gyakorolhatják cégjegyzési jogosultságukat.
A cégjegyzési jog keletkezéséről és megszűnéséről a Jogi szolgáltatások cégjegyzési hirdetményt ad ki, és azt az Intraneten közzéteszi.
A számlavezető szervezeti egységek cégjegyzésre jogosult munkavállalóinak jegyzékét e szervezeti egységek ügyfélforgalmi helyiségeiben ki kell függeszteni.
Az egyszemélyi aláírási jog
Intézkedési jogkörükön belül az alelnökök, az ügyvezető igazgató(k), valamint a szervezeti egységek vezetői – vagy akadályoztatásuk esetén helyetteseik – egyedül is aláírhatják:
a) az utalványozást nem tartalmazó Bankon belüli iratokat,
b) a külső szervekhez intézett olyan leveleket, amelyek vagyoni kötelezettségvállalást nem tartalmaznak, továbbá minden olyan dokumentumot, amellyel kapcsolatban a Bankot érintő vagyoni következmény felmerülése kizárt. Ha a vagyoni következmény lehetősége tekintetében kétség merül fel, a dokumentumot cégszerűen kell aláírni.
A Bankon belüli levelezés során a feladatkörükbe tartozó ügyekben az ügyintézők is aláírhatnak egy személyben.
A hatósági határozatot vagy végzést a kiadmányozásra elnöki utasításban vagy az elnök által írásban adott eseti megbízásban felhatalmazott személy írja alá. Papír alapú okirat esetében a dokumentumot a Bank nevét – amennyiben a határozatot vagy végzést a szervezeti egység vezetője vagy más munkavállalója jogosult aláírni, a hatósági eljárás lefolytatására illetékes szervezeti egység elnevezését is – tartalmazó körbélyegző-lenyomattal is el kell látni. Elektronikus okirat esetében az aláírás közigazgatási felhasználásra alkalmas fokozott biztonságú tanúsítvánnyal és időbélyegzéssel történik. A határozaton vagy végzésen fel kell tüntetni, hogy a kiadmányozó az elnök nevében, az ő megbízásából jár el.
A Bank elnöke írásban felhatalmazást adhat az általános szabályoktól eltérő cégjegyzési és egyszemélyi aláírási jogra.
A jogi képviselet során alkalmazott aláírásokra az erre vonatkozó jogszabályi rendelkezések az irányadók.

I.5.2.2. A kötelezettségvállalás rendje
A kötelezettségvállalásnak minősülő egyedi üzleti döntéshozatal rendjét belső szabályok rendezik. Ezen felül kötelezettségvállalásnak minősül, a kiegyenlítés módjától és időpontjától függetlenül, minden olyan nyilatkozat, amelynek következtében a Bank részére történő termékértékesítés vagy szolgáltatásnyújtás ellenértékeként a Bankra ellenszolgáltatási kötelezettség hárul. A szervezeti egységek közötti megrendelés, igénybejelentés nem minősül kötelezettségvállalásnak.
A Bank terhére kötelezettséget vállalni, főszabályként csak írásban lehet.
A kötelezettségvállalás, illetve a pályázati felhívás elküldésének vagy közzétételének előfeltétele a pénzügyi keret (fedezet) megléte vagy a pénzgazdálkodás hatályos rendje szerint felhatalmazott vezető részéről annak előzetes – a fizetés esedékességének időpontjára vonatkozó – biztosítása akkor, ha a kötelezettségvállalás és az azzal összefüggő fizetési kötelezettség nem ugyanazon pénzügyi éven belül esedékes.
A Bank terhére kötelezettségvállalásra jogosult személyek:
a) a Bank elnöke,
b) az alelnökök,
c) az ügyvezető igazgató(k),
d) a szervezeti egységek vezetői,
e) a felügyelőbizottság által igényelt erőforrások beszerzéséhez kapcsolódó kötelezettségválalások tekintetében a felügyelőbizottság titkárságának cégjegyzési jogosultsággal rendelkező munkavállalói, valamint
f) meghatározott esetekben a szervezeti egység vezetője által megbízott, cégjegyzési joggal rendelkező munkavállalók.
A kötelezettségvállalás rendjének részletes szabályait belső szabályok tartalmazzák.

I.5.2.3. Az utalványozás rendje
A Bank terhére utalványozni – olyan utasítást adni, amelynek végrehajtásaként a Bank, vagy a Bank megbízásából más jogi vagy természetes személy a Bank terhére fizetést teljesít – csak írásban lehet.
Utalványozásra akkor kerülhet sor, ha a Bankot
a) szabályszerű kötelezettségvállalás,
b) jogszabály,
c) jogerős hatósági, bírósági határozat
alapján esedékessé vált fizetési kötelezettség terheli, illetve kiegyenlített készpénzes számla elszámolása indokolja.
Az utalványozás előfeltétele a pénzügyi keret (fedezet) megléte.
Általános utalványozási jogkörrel rendelkeznek:
a) a kötelezettségvállalásra jogosultak,
b) a szervezeti egység vezetője által írásban megbízott munkavállaló(k).
Az utalványozás rendjének részletes szabályait belső szabályok tartalmazzák.

I.5.3. A panaszok kezelésének rendje
Az ügyfélpanasz olyan szóban vagy írásban előterjesztett kérelem, amely a Bank eljárásával, ügyintézésével vagy azok elmulasztásával kapcsolatosan felmerült sérelem megszüntetésére irányul, és elintézése nem tartozik más belső szabályban rögzített, illetve jogilag szabályozott eljárásra. Ha az ügyfélpanasz szervezeti egység vezetőjére, illetve ennél magasabb beosztású vezetőre vonatkozik, akkor e vezetők közvetlen vezetőjének, ha a Bank egyéb munkavállalójára vonatkozik, vagy valamely szervezeti egység feladatkörével, felelősségi körével kapcsolatos, akkor az érintett szervezeti egység vezetőjének feladata az azzal kapcsolatos intézkedések megtétele. Az ügyfélpanasz elintézése ellen benyújtott felülvizsgálati kérelemről a Bank elnöke dönt.
Egyéb panasznak minősül az olyan írásban előterjesztett sérelem, amely nem tekinthető ügyfélpanasznak, továbbá elintézése nem tartozik más belső szabályban rögzített, illetve jogilag szabályozott eljárásra, valamint nem jogszabály vagy jegybanki rendelkezés alkalmazására vonatkozik. Az egyéb panaszok kezelését a Kommunikáció végzi.
A panaszt, illetve a felülvizsgálati kérelmet a lehető legrövidebb idő alatt, de legkésőbb a Bankba történő beérkezéstől számított 15 napon belül el kell intézni, amely legfeljebb 30 nappal indokolt esetben meghosszabbítható.
A központi rendszer által működtetett ügyfélvonalon keresztül bejelentett panaszt lehetőleg 15 munkanapon belül meg kell válaszolni az ügyfél részére, az ügyfélvonal egyidejű értesítése mellett. Amennyiben a panasz elintézése a 15 munkanapot meghaladja, akkor ezt a tényt jelezni kell az ügyfélvonal számára, megjelölve a válaszadás előre látható időpontját.
A panaszokat írásban, az ügy tárgyilagos, elfogulatlan elbírálását biztosítva, az ügyfelet az ügyben tett lépésekről tájékoztatva kell elintézni.
Ha a panasz alaposnak bizonyul, gondoskodni kell
a) a sérelmezett intézkedés hatálytalanításáról, megváltoztatásáról, illetve a mulasztás pótlásáról;
b) az egyébként szükséges, illetve jogszabályban, belső szabályozásban előírt intézkedések megtételéről;
c) indokolt esetben felelősségre vonás kezdeményezéséről.
Az ügyfélpanaszról és a válaszlevélről tájékoztatásul másolatot kell küldeni az Integrált kockázatkezelésnek, amely szervezeti egység évente legalább egyszer tájékoztatja az elnököt az ügyfélpanaszok státusáról.

I.6. A szabályozottság

A szabályozottság a folyamatok dokumentálásával, hatáskörrel történő felhatalmazással, illetve a döntések világos elvek szerint történő meghozatalával és megismertetésével valósul meg. A Bankban a szabályozottság írott eszközei az SZMSZ, a belső szabályok, illetve a technológiai eljárások.

I.6.1. A belső szabályok
A Bank irányításával kapcsolatos belső szabályok célja a munkavégzés szakszerűségének normatív biztosítása, a munkavégzés során keletkező különféle kockázatok mérséklése és ellenőrizhetőségének megteremtése, a munkafolyamatban részt vevő munkavállalók felelősségének pontos körülhatárolása.
A Bank szervezetéről, működéséről, a legfőbb irányítási kérdésekről (irányítási szintek, legfontosabb hatáskörök, döntések, a vezetők felelőssége), jogokról és kötelezettségekről, a legfontosabb eljárási kérdésekről és a szervezeti egységek tevékenységéről, a szervezeti egységek hatáskörébe tartozó feladatok meghatározásáról az SZMSZ rendelkezik. Az SZMSZ a Bank irányításának legfőbb dokumentuma, amelyet a Bank elnöke közjogi szervezetszabályozó eszközként (normatív utasításként) bocsát ki. Az SZMSZ, valamint annak keretein belül a jogszabályok és a Monetáris Tanács döntéseinek végrehajtásáról belső szabályok rendelkeznek.
Belső szabályok elnöki, alelnöki, ügyvezető igazgatói vagy szervezetiegység-vezetői utasítások lehetnek (együtt: belső szabályok). A belső szabályokkal szemben támasztott általános követelmény, hogy
a) szabályozni a több szereplős, kockázatot hordozó, összetett, több lépésből álló tevékenységeket kell,
b) feleljenek meg a jogszerűség, célszerűség, világosság, áttekinthetőség, végrehajthatóság és számonkérhetőség elvének.
A belső szabályok elkészítéséért az SZMSZ szerint a tárgykört tekintve illetékes szervezeti egység vezetője a felelős.
A belső szabály tervezetét az azzal érintett szervezeti egységen kívül véleményezésre meg kell küldeni a Belső ellenőrzés részére az ellenőrzési pontok megítélése céljából, illetve a Jogi szolgáltatásoknak a jogszabályoknak való megfelelés, valamint a belső szabályokkal való összhang ellenőrzése céljából.

I.6.2. Technológiai eljárások
A szervezeti egységek vezetői munkaszervezési kérdésekre kiterjedően, írásban, a saját vezetői munkájuk gyakorlása és megkönnyítése érdekében, illetve a szervezeti egység munkavállalói munkájának támogatására technológiai eljárásokat alkalmazhatnak.

I.6.3. Közzététel
A belső szabályokat – ideértve az SZMSZ-t is – a Jogi szolgáltatások az MNB intraneten közzé teszi, és itt tartja nyilván a hatályon kívül helyezett szabályokat is. Az SZMSZ-ről szóló normatív utasításnak a Hivatalos Értesítőben való megjelentetéséről a Jogi szolgáltatások gondoskodik. Belső szabályok esetében, ideértve az SZMSZ-nek a módosításokkal egységes szerkezetbe foglalt változatát is, hivatalos közzétételnek az MNB intraneten történt megjelentetés minősül.

I.7. A képviselet

Minden olyan írásos, személyes vagy testületi fellépés – hatóságokkal, közéleti és társadalmi szervezetekkel, jogi és természetes személyekkel szemben –, ahol a keletkező munkakapcsolatban a Bank jogokat szerez, kötelezettségeket vállal, jognyilatkozatokat tesz, vagy álláspontot közvetít, a képviselet tárgykörébe tartozik.
Általános képviselet
A Bankot harmadik személyekkel szemben az elnök, a szakmai irányításuk alá tartozó területek ügyeiben az alelnökök és az ügyvezető igazgató(k) képviselik. Az elnök akadályoztatása vagy távolléte esetén az általa kijelölt alelnök jár el képviseleti jogkörében. Az elnök helyettesítésével megbízott alelnök – az elnök távollétében, a helyettesítési feladatok ellátása során – egyszemélyi képviseletre jogosult mindazon munkakapcsolatokban, amelyek az elnök jogkörébe tartoznak.
A szervezeti egységek vezetői, valamint a képviselettel külön megbízott személyek képviseleti joggal rendelkeznek az általuk irányított szervezet szakmai munkája, illetve a hatáskörükbe utalt külső/belső munkakapcsolatok területén.
Az elnök bármely ügyet, annak bármely szakában saját hatáskörébe vonhat, vagy az SZMSZ-ben rögzítettektől eltérően más hatáskörébe utalhat.
Jogi képviselet
A jogtanácsosi tevékenységről szóló 1983. évi 3. törvényerejű rendelet értelmében a jogtanácsos külön meghatalmazás nélkül, munkaviszonya alapján képviseli a Bankot.
A jogtanácsos a bankot illető jogról lemondani, vagy ellenszolgáltatás nélkül a Bankot terhelő kötelezettséget vállalni csak külön felhatalmazás alapján jogosult.
Képviselet a nemzetközi kapcsolatokban
A Bankot nemzetközi kapcsolataiban az elnök, az alelnökök, az ügyvezető igazgató(k), valamint az általuk ezzel megbízott személyek képviselik.
A Bank nyilvánosság előtti képviselete
A Bankot a nyilvánosság előtt az elnök, az alelnökök és a sajtószóvivő képviseli. A képviseletet a sajtószóvivő a Bank bármely munkavállalójára átruházhatja.
A tájékoztató, hírközlő szervekkel – az írott vagy elektronikus sajtó, a rádió, a televízió munkatársaival (a továbbiakban: média) – kizárólag a Kommunikáció tartja a kapcsolatot. Médiamegkeresés esetén a sajtószóvivő jelöli ki és kéri fel a nyilatkozót, elsődlegesen a jegybanki üzenetek médiában való hiteles megjelenése érdekében létrehozott, a Bank – sajtószóvivő által erre kijelölt – szakmai vezetőiből álló Nyilatkozói Kör tagjai közül.
Az elemző területeken dolgozó munkavállalók a szakmai felettesükkel egyeztetve, a Kommunikáció előzetes tájékoztatása mellett önállóan nyilatkozhatnak azokon a szakmai fórumokon (pl. konferenciákon, előadásokon), melyek nem a média számára szervezett események.
A Monetáris Tanács kamatmeghatározó ülése és az Inflációs Jelentés közzététele előtti héten kerülni kell minden olyan kommunikációt, mely a jegybanki monetáris politikával, kamatpolitikával kapcsolatban áll. Ebben az összefüggésben a sajtónyilatkozatok, cikkek, előadások és a befektetői találkozókon kifejtettek egyaránt kommunikációnak tekintendők. Ha a kommunikáció mégis elkerülhetetlen, a Bank munkavállalói kötelesek elhárítani mindazokat a témaköröket, amelyek a kamatdöntésre, illetve az Inflációs Jelentés megállapításaira, az abban megfogalmazott üzenetekre vonatkozó bármiféle utalásokat tartalmazhatnak. A Stabilitási Jelentés publikálását megelőző egy hétben a jelentésben megfogalmazott üzenetekről a nyilvánosságot tájékoztatni nem lehet.
A Bank munkavállalói megszólalásaik során kerülik a Monetáris Tanács kamatdöntésével kapcsolatos állásfoglalást. Amennyiben a szakértők megnyilvánulása a témában elkerülhetetlen, kommunikációjukban a többségi véleményt kell képviselniük.
A Monetáris Tanács álláspontjának nyilvánosságra hozatala tekintetében az MNB tv., a Monetáris Tanács ügyrendje, a testület tagjainak a monetáris politikához kapcsolódó egyéni kommunikációja tekintetében pedig a Monetáris Tanács ügyrendjének 2. számú függeléke („A Magyar Nemzeti Bank Monetáris Tanácsának kommunikációs irányelvei”) az irányadó.

I.8. A munkavállalók jogállása, jogai és kötelezettségei

A Bank egységes toborzási rendszer révén biztosítja – a megfelelő képzettségű, az elvárt képességekkel és tapasztalattal rendelkező szakemberek alkalmazásával – munkaerőigényének kielégítését. Az egyes munkakörök betöltése – ha az elnök másként nem rendelkezik – egységes kiválasztási rendszer alapján, pályázat útján, vagy a karriermenedzsment rendszer keretében, tudatos utánpótlás tervezés eredményeként történik.
A munkavállalók jogállását, részvételét a Bank irányításában, illetve szervezetében a mindenkor hatályos MNB tv., az SZMSZ, valamint a Munka Törvénykönyve, a Kollektív Szerződés és egyéb vonatkozó jogszabályok és belső szabályok rendelkezései határozzák meg.
A banki munkavállaló jogai
– jogosult igényelni a folyamatos munkavégzéshez szükséges tárgyi, szervezeti feltételeket, munkaköri leírását, valamint eseti feladatának részletes ismertetését a munkáltatói jogkör gyakorlójától,
– jogosult megismerni a Bank célkitűzéseit, saját szervezeti egysége programját, valamint eredményeit,
– joga, hogy megismerje a munkájával és személyével kapcsolatos értékeléseket, valamint ezekről véleményt nyilváníthat,
– állásfoglalását, véleményét jogosult munkaértekezleteken és egyéb szakmai megbeszéléseken kinyilvánítani,
– saját munkájával, vagy szervezeti egysége, illetve a Bank tevékenységével kapcsolatban szóban vagy írásban javaslatot tehet, panasszal élhet – megkövetelheti a reális, rövid határidőre történő válaszadást, de a panasznak nincs halasztó hatálya a kiadott feladat végrehajtására vonatkozóan.
A banki munkavállaló kötelezettségei
– feladatait legjobb tudása szerint, a Bank sikeres működését elősegítve kell ellátnia,
– a banki munkarend és munkafegyelem betartása,
– az SZMSZ-ben, valamint a névre szólóan számára átadott munkaköri leírásban meghatározott, reá vonatkozó feladatok következetes és maradéktalan elvégzése,
– meghatározott munkakörökben vagyonnyilatkozat- és/vagy összeférhetetlenségi nyilatkozat tétele,
– a munkavédelmi, egészségügyi, tűzvédelmi szabályok betartása,
– a banki vagyon és tulajdon megóvása,
– a munkájára vonatkozó előírások megismerése, betartása,
– a bizonylati rend és fegyelem betartása,
– a minősített adatok, a banktitok, fizetési titok, értékpapírtitok és üzleti titok megőrzése,
– javaslataival a banki működés javításának elősegítése,
– az alkotó munkahelyi légkör kialakításának segítése, az emberi és munkakapcsolatok fejlesztése,
– a munkavégzés akadályainak feltárása, közreműködés azok kiküszöbölésében,
– szakmai tudása, felkészültsége, gyakorlati ismeretei folyamatos tudatos fejlesztése,
– a Bank és szervezeti egysége működésének elősegítése, fejlesztése legjobb tudása szerint,
– a Bank Etikai Kódexének betartása,
– munkahelyén kívül is a Bankhoz méltó magatartás tanúsítása,
– tervezett hosszabb távollét, a munkaszervezeten belüli munkahely/munkakör megváltozása, illetve munkaviszony megszűnés esetén a helyettes, illetve a munkáltatói jogkör gyakorlója által kijelölt személy részére a munkaköri feladatok, folyamatban lévő ügyek, ügyiratok, a munkakör ellátása során tudomására jutott információk átadása erre vonatkozó jegyzőkönyv felvételével egyidejűleg, legkésőbb az átadó adott munkakörben eltöltött utolsó munkanapján. A jegyzőkönyvnek tartalmaznia kell az átadás-átvételi eljárásban részt vevő személyek nevét és az eljárás időpontját, az átadott munkakörrel kapcsolatos általános jellegű tájékoztatást, az átadott iratok megnevezését, tételes jegyzékét, a még folyamatban lévő ügyekben a soron következő szükséges intézkedéseket, az átvevő és az átadó, illetve az eljárásban részt vevő valamennyi személy aláírását, és egy teljességi nyilatkozatot,
– az intraneten közzétett információk nyomon követése, különös tekintettel a belső szabályokra, illetve a cégjegyzési hirdetményekre.
Vagyonnyilatkozat-tételi kötelezettség
Az egyes vagyonnyilatkozat-tételi kötelezettségekről szóló 2007. évi CLII. törvény alapján a Bank munkavállalói közül – ide nem értve a Monetáris Tanács tagjait – vagyonnyilatkozatot kötelesek tenni
a) a „C” típusú nemzetbiztonsági ellenőrzésre köteles, fontos és bizalmas munkakört betöltő munkavállalók, ötévenként;
b) azok, akik önállóan vagy testület tagjaként javaslattételre, döntésre vagy ellenőrzésre jogosultak,
– ha közigazgatási hatósági ügyben járnak el, ötévenként,
– ha közbeszerzési eljárásban vesznek részt, évenként,
– ha feladataik ellátása során állami vagyonnal gazdálkodnak, kétévenként,
továbbá a vagyonnyilatkozat-tételi kötelezettséget megalapozó jogviszony, munka- vagy feladatkör megszűnését követő harminc napon belül.
Az egyedi munkakörök vagyonnyilatkozat-tételi kötelezettség szempontjából való minősítésére a Bankbiztonság vezetője jogosult.

II. KÜLÖNÖS RÉSZ
A BANK SZERVEZETI EGYSÉGEI

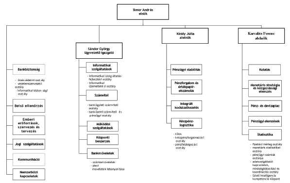
A Bank szervezeti egységei a következők:
1. Bankbiztonság (BBT),
2. Bankműveletek (BMK),
3. Belső ellenőrzés (BEL),
4. Emberi erőforrások, szervezés és tervezés (EEF),
5. Informatikai szolgáltatások (ISZ),
6. Integrált kockázatkezelés (IKK),
7. Jogi szolgáltatások (JOG),
8. Készpénzlogisztika (KPL),
9. Kommunikáció (KOM),
10. Központi beszerzés (KBE),
11. Kutatás (KUT),
12. Monetáris stratégia és közgazdasági elemzés (MSK),
13. Működési szolgáltatások (MSZ),
14. Nemzetközi kapcsolatok (NKI),
15. Pénz- és devizapiac (PDP),
16. Pénzforgalom és értékpapír-elszámolás (PFE),
17. Pénzügyi elemzések (PEL),
18. Pénzügyi stabilitás (PST),
19. Statisztika (STA),
20. Számvitel (SZV).

II.1. A Bankbiztonság

A Bankbiztonság a banküzemet veszélyeztető fizikai, környezeti, informatikai, humán- és reputációs kockázatokat kezeli. Ennek keretében a szervezeti egység feladata mindazon tervezési, szervezési, ellenőrzési, irányítási és végrehajtási feladatok ellátása, amely a Bank érték- és információrendszerének, reputációjának és munkavállalóinak védelmét szolgálja. Szükség esetén javaslatot tesz kockázatcsökkentő kontrollok bevezetésére. Gondoskodik a jogszabályi előírásokból adódóan a Bankra háruló munka-, valamint tűzvédelmi feladatok megvalósításáról, egyes hatósági felügyeleti funkciók ellátásáról, illetve a nemzetgazdaság védelmi felkészítésével és mozgósításával, valamint a polgári védelemmel és katasztrófaelhárítással, továbbá a minősített adatok védelmével összefüggő egyes feladatok ellátásáról.
Költséggazdai funkciójából eredően részt vesz a Bank költséggazdálkodási tevékenységében. Feladata a hatáskörébe tartozó beruházási és üzemeltetési feladatok esetében a terveztetés, a beruházás, a lebonyolítás. Költséggazda szervezeti egységként lebonyolítja – a Központi beszerzés szakmai irányításával – a hatáskörébe tartozó beszerzési eljárásokat.
A szervezeti egység a következő osztályokra tagozódik:
a) őrzésvédelmi osztály,
b) védelemszervezési osztály,
c) informatikai biztonsági osztály.
A szervezeti egység meghatározott feladatait a szervezeti egység vezetőjének közvetlen irányításával, szervezeti alegységhez nem tartozó munkavállalók látják el (törzs).
A szervezeti egység feladatkörei az alábbiak szerint oszlanak meg.

1.1. A törzs
1.1.1. javaslatot tesz a Bank középtávú biztonsági stratégiájára;
1.1.2. a biztonsági folyamatokat menedzseli a humánkockázati események bekövetkezésének megelőzése érdekében, különös tekintettel a bennfentes információk védelmére, a bennfentes kereskedelem tilalmára, az adatvédelem, adatbiztonság szempontjaira, a pénzügyi, gazdasági, egyéb visszaélésekre, illetve a magas reputációs kockázatot rejtő humánkockázati helyzetekre;
1.1.3. fejleszti a Bank humánkockázat-szűrési rendszerét, végrehajtja a humánkockázat-szűrési feladatokat, és vezeti Bank humánkockázati térképét;
1.1.4. a bekövetkezett humánkockázati eseményeket az erre kialakított belső eljárásrend szerint kivizsgálja: bűncselekmény, szabálysértés, vagy egyéb károsító magatartás, IT biztonságsértés esetében feltárja a történeti tényállást, melynek megküldésével szükség szerint javaslatot tesz a Jogi szolgáltatásoknak feljelentés megtételére; ellenőrzi a bankbiztonsági kontrollok érvényesülését; sürgős esetben, az általa vizsgált ügyekben helyszíni szabálysértési, illetve büntető feljelentést tesz, melyről a Jogi szolgáltatásokat utólag tájékoztatja;
1.1.5. ellátja a Bank pénzügyi tevékenységi körében a pénzmosás és a terrorizmus finanszírozása elleni fellépéssel kapcsolatos intézményi feladatokat;
1.1.6. a hatáskörébe tartozó ügyekben kapcsolatot tart a büntetőügyekben eljáró hatóságokkal, a megelőzési tevékenységet folytató szakmai szervezetekkel, a felügyeleti szervekkel, valamint a nemzetbiztonsági szolgálatok Bankot érintő védelmi tevékenysége körében a nemzetbiztonsági szolgálatokkal;
1.1.7. a biztonság érdekében – a feladatai ellátásához a Bank által kezelt adatokat is megismerve – vizsgálja a banki munkafolyamatokat, szükség szerint betekint a munkafolyamatokhoz kapcsolódó szerződésekbe;
1.1.8. a nemzetgazdaság védelmi felkészítésével és mozgósításával, valamint a polgári védelemmel összefüggő feladatok ellátása keretében gazdaságfelkészítési tervezést végez, továbbá kapcsolatot tart a központi tervező szerv feladatait ellátó kormányzati szervvel, valamint más minisztériumokkal és hatóságokkal;
1.1.9. a gazdaság rendkívüli működésére vonatkozóan a Jogi szolgáltatásokkal, valamint a Készpénzlogisztikával együttműködve jogszabály-előkészítő tevékenységet végez;
1.1.10. végzi a polgári védelemmel, a katasztrófaelhárítással, illetve az ezekkel összefüggő anyagi-ellátási feladatokat;
1.1.11. a Készpénzlogisztikával együttműködve végzi a pénz- és értékszállításokat, megszervezi azok védelmét;
1.1.12. irányítja és ellenőrzi a Bank tűzvédelmi tevékenységét;
1.1.13. ellátja a Bank munkavédelemmel összefüggő központi feladatait, irányítja és ellenőrzi a Bank munkabiztonsági tevékenységét;
1.1.14. a Minősített Adat Nyilvántartó Iroda révén gondoskodik a minősített adatok tárolásáról, nyilvántartásáról, kezeléséről, ezzel összefüggésben adatszolgáltatást teljesít a Működési szolgáltatásokon keresztül az Országgyűlés adatvédelmi biztosa számára;
1.1.15. ellátja a szervezeti egység költséggazdai, számviteli és belső gazdálkodási feladatait, megszervezi és figyelemmel kíséri a leltározást;
1.1.16. ellátja az NKI koordinációs tevékenysége keretében érkező, a szervezeti egység hatáskörébe tartozó feladatokat a vonatkozó belső szabályok szerint.

1.2. Az őrzésvédelmi osztály
1.2.1. megszervezi és működteti a Bank be- és kiléptetési rendszerét; folyamatosan ellenőrzi a banképületekben való benntartózkodás jogosságát; végzi az ügyfélirányítást; ellátja a teherforgalom bizonylat ellenőrzését;
1.2.2. ellátja a Bank objektumainak őrzését és védelmét, gondoskodik a speciális feladatok ellátásához szükséges személyi állomány kiképzéséről; megszervezi és működteti a fegyveres biztonsági őrséget, felügyeli a szerződéses biztonsági szolgálatot;
1.2.3. elvégzi a Bank épületeiben elhelyezett röntgenberendezések működtetéséhez, kezeléséhez kapcsolódóan jogszabályban előírt feladatokat, ideértve az ehhez szükséges iratkezelést, dokumentumtárolást, karbantartásfelügyeletet, nyomon követést, oktatásszervezést is.

1.3. A védelemszervezési osztály
1.3.1. részt vesz a pénzfeldolgozási tevékenység biztonsági feltételeinek a Készpénzlogisztika által végzett hatósági ellenőrzésében, és a biztonsági szabályzat véleményezésével a pénzfeldolgozási tevékenység engedélyezése iránti kérelmek elbírálásában; valamint közreműködik a fizetési rendszer működtetésének ellenőrzésében a biztonsági feltételeknek való megfelelés tekintetében;
1.3.2. végzi a Bank elektronikai és mechanikai vagyonvédelmi, valamint tűzjelző és -oltórendszereinek, eszközeinek, berendezéseinek tervezésével, telepítésével, üzemeltetésével és karbantartásával kapcsolatos műszaki-technikai feladatok teljesítéséhez szükséges költségek tervezését, továbbá műszaki-technikai szempontból ellenőrzi a Bank vagyonvédelmi rendszereit, eszközeit;
1.3.3. kapcsolatot tart a Központi Bankok Európai Rendszerével (KBER), és képviseli a Bankot a BANCO SWG-ben;
1.3.4. ellátja az NKI koordinációs tevékenysége keretében érkező, a szervezeti egység hatáskörébe tartozó feladatokat a vonatkozó belső szabályok szerint.

1.4. Az informatikai biztonsági osztály
1.4.1. ellátja a Bank informatikai biztonságával összefüggő felügyeleti tevékenységet, ennek keretében szabályzatokat készít, azok alkalmazását ellenőrzi és korszerűsíti őket;
1.4.2. javaslatot tesz az IT-biztonsági stratégiára vonatkozóan, figyelembe véve a hazai és nemzetközi elvárásokat;
1.4.3. IT-biztonsági igényeket specifikál és képvisel a számítástechnikai fejlesztésekre, rendszerekre és projektekben;
1.4.4. előzetes bejelentési kötelezettség nélkül ellenőrzi a központi felhasználó adminisztráció által nyilvántartott jogosultságok érvényesülését a bank informatikai rendszereiben;
1.4.5. gondoskodik a kriptográfiai kulcsok és a Bank kiemelt informatikai rendszereiben kiosztott, igényelt jogosultságok nyilvántartásáról, betekintést biztosítva az érintett informatikai rendszerek jogosultság-adminisztrátorainak;
1.4.6. a kockázatok nem megengedhető mértékű növekedése, vagy szabályzattól eltérő működés esetén értesíti a Belső ellenőrzést;
1.4.7. kapcsolatot tart a KBER-rel, és képviseli a Bankot IT-biztonsági témakörökben;
1.4.8. IT-biztonsági felügyeletet gyakorol a KBER rendszerekre vonatkozóan;
1.4.9. ellátja az NKI koordinációs tevékenysége keretében érkező, a szervezeti egység hatáskörébe tartozó feladatokat a vonatkozó belső szabályok szerint.

II.2. A Bankműveletek

A Bankműveletek szervezeti egység vezeti az ügyfelek és a Bank saját számláit, ügyfélforgalmi jellegű forint- és deviza-pénzforgalmi tevékenységet végez a Bank számlavezetési körébe tartozó intézmények részére. A szervezeti egység ellátja a Bank devizalikviditásának fenntartása érdekében rábízott feladatokat, lebonyolítási feladatokat végez a pénz-, deviza-, tőkepiaci műveletek és a tartalékállomány-befektetésekre irányuló, valamint a jegybank nyíltpiaci műveleteinek vonatkozásában. Adatszolgáltatási feladatkörében elkészíti az előírt és ad hoc jellegű jelentéseket.

A szervezeti egység a következő osztályokra tagozódik:
a) számlaműveletek,
b) piaci műveletek lebonyolítása.
E szervezeti alegységek között a feladatkörök az alábbiak szerint oszlanak meg.

2.1. A számlaműveletek
2.1.1. végzi a jegybanki ügyfélkör, illetve a Bank saját részére vezetett pénzforgalmi számláinak és nyilvántartásainak törzsadat-kezelését;
2.1.2. az ügyfelek és a Bank saját megbízásai alapján végzi a deviza- és forint pénzforgalmi lebonyolítási feladatokat, mindehhez kapcsolódóan végzi a számlavezetést és a könyvelést; gondoskodik a jegybanki fedezetkezelési rendszer működtetésének belső szabályozásáról;
2.1.3. javaslatot tesz a pénzforgalmi díjakra és jutalékokra; meghatározza és folyamatosan karbantartja a pénzforgalmi szolgáltatásokra vonatkozó üzleti feltételeket és a Hirdetményt;
2.1.4. vezeti a bankközi fizetési forgalom irányításához szükséges bankkód és hitelesítő tábla nyilvántartást;
2.1.5. a VIBER vonatkozásában ellátja a rendszerhez való csatlakozással kapcsolatos engedélyezést, valamint a fizetési, illetve értékpapír-elszámolási rendszerekben történő teljesítés véglegességéről szóló törvényben meghatározott, a VIBER, mint kijelölt rendszer résztvevői közötti megállapodások karbantartási feladatait, és az ott meghatározott rendszerüzemeltetői feladatokat;
2.1.6. hatósági és ügyfél megkeresésekkel kapcsolatosan adatot szolgáltat, levelez;
2.1.7. ellátja a kötelező jegybanki tartalékkal kapcsolatos bankműveleti tevékenységeket;
2.1.8. adatot szolgáltat a céltartalék és értékvesztés képzéshez, a fizetési mérleg jelentéshez, pénzforgalmi statisztikát készít a forint-, deviza- és VIBER forgalomról a Pénzforgalom és értékpapír-elszámolás részére;
2.1.9. nostro számlakivonat egyeztetést végez;
2.1.10. bankközi elszámolás-forgalomban végzi
– a VIBER elszámolásforgalmi rendszer üzemeltetését,
– a BKR pozíció mátrix elszámolását,
– a napközbeni hitelkerethez és a napvégi overnight hitelhez kapcsolódó lebonyolítási feladatokat,
– a bankkártya elszámolások kiegyenlítését és a kapcsolódó óvadék-nyilvántartást,
– a postától kapott tranzakciók és díjak elszámolását, továbbszámlázását,
– a bankon belüli klíringforgalom lebonyolítását;
2.1.11. ellátja a Magyar Állam által a nemzetközi intézményekkel szemben vállalt fizetési kötelezettségeket megtestesítő kötelezvények letéti őrzését, a letétek átvételével, kiadásával és nyilvántartásával kapcsolatos feladatokat;
2.1.12. ellátja az NKI koordinációs tevékenysége keretében érkező, a szervezeti egység hatáskörébe tartozó feladatokat a vonatkozó belső szabályok szerint.

2.2. A piaci műveletek lebonyolítása
2.2.1. ellátja a Pénz- és devizapiac szervezeti egység által kötött deviza-, tőkepiaci és derivatív ügyletek lebonyolítási, levelezési és elszámolási feladatait;
2.2.2. végrehajtja az MNB, illetve az állam által külföldön kibocsátott kötvények fizetési kötelezettségeinek lebonyolítását, ellátja az ÁKK-nak adósságcsere keretében átadott MNB kibocsátású devizakötvényekhez kapcsolódó feladatokat, kezeli az MNB által az állam megbízásából, nemzetközi szerződésen alapuló külföldre nyújtott hiteleket;
2.2.3. utógondozza a lejárt definitív kötvényeket (tőke, kupon);
2.2.4. feladatköréhez kapcsolódóan végzi az ügyfélnyilvántartást, -számlavezetést és a törzsadat-kezelést, végrehajtja a könyvelési feladatokat, vezeti az ügylet-nyilvántartásokat, analitikus adatot szolgáltat a céltartalék- és értékvesztés képzéshez;
2.2.5. ellátja a nostro számlavezetéshez kapcsolódó feladatokat, így különösen: devizalikviditás biztosítása és ellenőrzése, pénzeszközök átcsoportosítása, költsége elszámolása; folyamatosan figyelemmel kíséri a számlavezetési kondíciók változását, szükség szerint javaslatot tesz a számlavezetői kapcsolatok módosítására, számlák lezárására, újak nyitására;

2.2.6. végzi az export–import akkreditívekkel, okmányos inkasszókkal, (kapott, nyújtott, reverzális és Bank saját beszerzéseihez kapcsolódó ajánlattételi és jóteljesítési) garanciákkal kapcsolatos állománykezelési feladatokat;
2.2.7. ellátja az NKI koordinációs tevékenysége keretében érkező, a szervezeti egység hatáskörébe tartozó feladatokat a vonatkozó belső szabályok szerint.

II.3. A Belső ellenőrzés

A Belső ellenőrzés a függetlenített belső ellenőrzés központi szerve, amely, az MNB tv. 50. §-ának (3) bekezdésében foglalt korlátozással, a felügyelőbizottság, illetőleg a felügyelőbizottság hatáskörébe nem tartozó feladatok tekintetében az elnök irányítása alatt áll. A szervezeti egység alapvető feladata a Bank törvényes, szabályos, kockázatmenedzselt, átlátható működésének támogatása, a Bank és ügyfelei eszközeinek, a tulajdonos érdekeinek védelme.
Alapvető feladata teljesítése érdekében a Belső ellenőrzés:
3.1. a Bank valamennyi szervezeti egységénél és a Bank többségi tulajdonában álló társaságoknál vizsgálja a jogszabályokban és a belső szabályokban foglaltak betartását;
3.2. ellenőrzései során feltárja és kivizsgálja, vagy kivizsgálásra javasolja a Bank érdekeit veszélyeztető hibákat, az esetleges visszaéléseket, ezekről jelzést ad az adott banki terület vezetésének, a Bank elnökének és a szakmai felügyeletet ellátó alelnöknek;
3.3. a vizsgálatok kapcsán feltárja az olyan helyzeteket, ahol a Bank megtakarításokat eszközölhetne vagy növelhetné működése hatékonyságát;
3.4. vizsgálatai során feltárja a Bank tevékenységében rejlő kockázatokat, és e kockázatok kezelése céljából minősíti a banki rendszerekbe épített ellenőrzési mechanizmusokat, illetve javaslatot tesz ezek javítására, fejlesztésére;
3.5. elsősorban a kockázatok csökkentésének szempontját szem előtt tartva véleményezi a belső szabályok tervezeteit, illetve javaslataival segíti a kiemelt informatikai és egyéb fejlesztések tervezését;
3.6. javaslatokat tesz a Bank által kiadandó külső szabályozások koncepciójához;
3.7. véleményezi a Banknak megküldött, a banki tevékenységet érintő jogszabálytervezeteket;
3.8. együttműködik a Bank által megbízott könyvvizsgálóval és az Állami Számvevőszékkel;
3.9. képviseli a Bankot a KBER belső ellenőri bizottságában (IAC), illetve annak munkacsoportjaiban. Részt vesz a bizottság által meghatározott ellenőrzések előkészítésében és végrehajtásában.
Az informatikai rendszerek auditja kapcsán:
3.10. informatikai rendszerek konzisztencia vizsgálata;
3.11. a Bank informatikai rendszereiben rejlő kockázatok azonosítása a fejlesztés, üzembe helyezés, működtetés területén;
3.12. IT-rendszerek kezelésére alkalmazott szabályok, eljárások, kiépített ellenőrzési mechanizmusok objektív értékelése;
3.13. IT-kockázatok mérséklésére irányuló javaslatok megfogalmazása;
3.14. a pénzügyi audit által végzett egyes vizsgálatok informatikai vonatkozásainak ellenőrzése;
3.15. informatikai szabályzat tervezetek véleményezése;
3.16. tanácsadás és konzultáció új informatikai szolgáltatás bevezetésével, illetve már meglévő rendszerek módosításával kapcsolatos kockázati és ellenőrzési kérdésekben.
A pénzügyi audit során:
3.17. átfogó, téma- és célvizsgálatok lefolytatása az audit standardok alapján;
3.18. a jogszabályokban és a belső szabályokban foglaltak betartásának vizsgálata;
3.19. az ellenőrzések során a Bank érdekeit veszélyeztető hibák, az esetleges visszaélések feltárása, azok kivizsgálása vagy kivizsgálásának kezdeményezése, továbbá a feltártak jelzése az adott banki terület vezetésének, a Bank elnökének, a szakmai felügyeletet ellátó alelnöknek, továbbá a felügyelőbizottság elnökének;
3.20. a Bank működési kockázatainak mérséklésére, megtakarítások eszközlésére vagy a működés hatékonyságának növelésére vonatkozó ajánlások készítése;
3.21. szabályok, eljárások, kiépített ellenőrzési mechanizmusok objektív értékelése;
3.22. belső szabály tervezetek és fejlesztési tervek véleményezése;
3.23. tanácsadás, illetve konzultáció a Bank ellenőrzési, kockázatkezelési rendszerében tervezett esetleges változtatások kapcsán.

II.4. Az Emberi erőforrások, szervezés és tervezés

Az Emberi erőforrások, szervezés és tervezés szervezeti egység feladata a Bank stratégiai elképzeléseihez igazodó emberi erőforrás stratégia meghatározása, annak megvalósítását szolgáló politikák, eljárások és eszközök kialakítása, folyamatos karbantartása, és azok működtetése a vezetők emberi erőforrás-menedzsment munkájában. A szervezeti stratégiához illeszkedően a vezetőkkel együttműködésben elkészíti a középtávú és éves emberi erőforrás-tervet, folyamatosan fejleszti a tervezés módszertanát. Tanácsot és módszertani támogatást nyújt a vezetők szervezetfejlesztési tevékenységéhez, menedzsment technikáinak fejlesztéséhez. A feladatkörébe tartozó kérdésekben részt vesz a Bank társadalmi felelősségvállalási stratégiájának kialakításában.
Feladatainak ellátása érdekében kapcsolatot tart és együttműködik a vezetőkkel, a munkavállalói érdekképviseleti szervezettel, valamint az üzemi tanáccsal. Szerkeszti és karbantartja a Bank kollektív szerződését. Költséggazda szervezeti egységként lebonyolítja – a Központi beszerzés szakmai irányításával – a hatáskörébe tartozó beszerzési eljárásokat. Kialakítja és működteti a bank (nem pénzügyi) eredményességi, költségtervezési és visszamérési rendszerét.
Ennek keretében:
4.1. működteti a toborzási, kiválasztási rendszert, ennek keretében kapcsolatot tart a vezetőkkel és támogatja a döntéshozatalt;
4.2. támogatja és koordinálja az új belépők, illetve az új munkakörbe kerülők beilleszkedését;
4.3. működteti a Bank szakemberszükségletéhez igazodó képzési rendszert, oktatási-képzési költségek költséggazdája, szervezi és koordinálja a képzések megvalósítását;
4.4. a minőségi munkaerő-utánpótlás hosszú távú biztosításának tudatos tervezhetősége érdekében a banki stratégiához igazodóan részt vesz a karrierfejlesztésben, a kialakított elvek alapján tervezi és koordinálja a teljes folyamatot a felső vezetőkkel együttműködésben;
4.5. részt vesz a szervezeti kultúra formálásában, fejlesztési programok megvalósításával közvetlenül, a személyzeti politika és a szervezeti értékek érvényesítésével közvetve alakítja a kultúrát;
4.6. tanácsadással támogatja a vezetőket az emberi erőforrás-menedzsment tevékenység ellátásában;
4.7. munkatársain keresztül tanácsadással segíti a munkavállalókat a munkahelyi, esetlegesen a személyes problémáik megoldásában;
4.8. működteti a Bank erkölcsi elismerési rendszerét, koordinálja az elismerések adományozásához kapcsolódó folyamatot;
4.9. működteti a Bank munkaköri struktúráját, besorolási és címrendszerét;
4.10. javaslatot tesz a Bank kompenzációs stratégiájára és politikájára, működteti a kompenzáció (alapbér, pótlékok, bónusz, béren kívüli juttatások) rendszerét és struktúráját, az emberi erőforrás-gazdálkodás rendszerében a vezetők számára szakirányítást ad a foglalkoztatás feltételeire vonatkozóan (pl. alapbérfejlesztés, javadalmazás stb.), ellenőrzi azok betartását;
4.11. működteti a teljesítményértékelési rendszert, koordinálja és felügyeli az éves értékelés végrehajtását, biztosítja a javadalmazási, a képzési és a karrierfejlesztési rendszerek kapcsolatát;
4.12. ellátja az ügyfélpanaszok elintézése ellen benyújtott felülvizsgálati kérelmek döntésre történő előterjesztéséhez kapcsolódó ügyintézését;
4.13. szakirányítást ad a vezetőknek az emberi erőforrás (létszám) tervezéséhez, költséggazda feladatokat lát el a Bank éves személyi jellegű költségei felett (bér, bérjellegű, béren kívüli juttatások és azok járulékai);
4.14. ellátja a munkavállalói juttatások igénybevételével kapcsolatos feladatokat (választható béren kívüli juttatások);
4.15. teljesíti a feladatait érintő külső/belső adatszolgáltatási kötelezettségeit;
4.16. ellátja a munkaviszony és a munkavégzésre irányuló egyéb jogviszony létesítésével, módosításával és megszüntetésével kapcsolatos munkajogi feladatokat, szervezi a munkaerő-átcsoportosítást;
4.17. a szervezetet érintő létszámleépítés esetén biztosítja annak egységes, humánus, és gondoskodó lebonyolítását;
4.18. a személyzeti adminisztráció keretében ellátja a munkaviszony és a munkavégzésre irányuló egyéb jogviszony létesítésével, módosításával és megszüntetésével kapcsolatos adminisztrációs feladatokat, biztosítja az adatbázis naprakészségét és pontosságát, vezeti a személyügyi nyilvántartást;
4.19. ellátja a munkavállalók illetményének és az egyéb járandóságoknak a számfejtésével és kifizetésével, valamint a banki nyugdíjasok támogatásával összefüggő, továbbá az MNB alkalmazottak biztosító egyesülete megszűnését követően a Bank által átvállalt feladatokat;
4.20. ellátja a társadalombiztosítási szolgáltatásokkal összefüggő feladatokat;
4.21. végzi a magánszemélyek jövedelemadózásával kapcsolatosan a Bankra mint munkáltatóra háruló feladatokat;
4.22. kezeli az adózással és a társadalombiztosítással kapcsolatos nyilvántartásokat, teljesíti az ezzel összefüggő külső és belső adatszolgáltatást;
4.23. ellátja a Bank és a HVB Bank Hungary Zrt. által aláírt, munkáltatói hitelek átvételéről kötött megállapodás alapján ráháruló feladatokat;
4.24. folyamatosan karbantartja a Bank Etikai Kódexét;
4.25. szervezi az éves munkavállalói elégedettségi vizsgálatokat, és figyelemmel kíséri az elégedettséget javító akciótervek végrehajtását;
4.26. a vezetőkkel együttműködésben a szervezet működési hatékonyságának felmérése, benchmarkok felkutatása, hatékonyságjavító intézkedések koncepciójának kidolgozása; a folyamatok, tevékenységek teljesítményével, eredményeivel, kimeneteivel kapcsolatos elvárások feltárása, hatékonyságot mérő mutatószámok kidolgozása;
4.27. a szervezeti egységek bevonásával a működési folyamatok modellezése, a folyamatok optimalizálása az emberi erőforrások felhasználásának racionalizálása érdekében; a folyamatok dokumentálása érdekében a szoftvertámogatást biztosít, melynek egyben bankszakmai felelőse is; felügyeli a folyamatszabályok és technológiai eljárások összhangját;
4.28. a működési hatékonyság növelése érdekében szükség esetén javaslatot tesz az egyes funkciókon belül, illetve azok közötti optimális munkamegosztáshoz illeszkedő szervezeti struktúrára vonatkozóan, az új tevékenységeket, funkciókat beilleszti a szervezeti struktúrába;
4.29. a teljesítményorientált szervezeti kultúra fenntartása érdekében a vezetők részére tanácsot és módszertani segítséget nyújt a bank korszerű szervezeti megoldásai és menedzsment technikáinak fejlesztéséhez;
4.30. kialakítja és működteti az eredményességi (nem pénzügyi) mutatószámok rendszerét;
4.31. folyamatosan ellenőrzi az eredménymutatók értékeit, azokat összeveti a célértékekkel, múltbeli adatokkal, benchmarkokkal, az értékek alakulásáról időközönként táblázatos összefoglalót, szöveges jelentést készít az elnök és a Beruházási és költséggazdálkodási bizottság számára;
4.32. karbantartja a pénzügyi tervezés módszertanát;
4.33. szervezi, szakirányítja és minőségbiztosítja az éves pénzügyi tervek elkészítését;
4.34. folyamatosan ellenőrzi a pénzügyi előirányzatok felhasználását, azokat összeveti a célértékekkel, múltbeli adatokkal, benchmarkokkal és az eredményekkel, az értékek alakulásáról a Beruházási és költséggazdálkodási bizottság számára havonta táblázatos összefoglalót, a Vezetői bizottság, a felügyelőbizottság és a Beruházási és költséggazdálkodási bizottság, továbbá a Nemzetgazdasági Minisztérium számára negyedéves gyakorisággal jelentést készít;
4.35. kontrolling adatbázisokat hoz létre és működtet, amelyből adatokat szolgáltat;
4.36. figyelemmel kíséri a gazdálkodás folyamatát, és felügyeli annak leképzését az SAP-rendszerben a belső konzisztencia biztosítása érdekében;
4.37. a Bank hirdetményének felülvizsgálatához éves gyakorisággal elkészíti a Bank által nyújtott pénzforgalmi szolgáltatások önköltségszámítását;
4.38. költségallokációs modell keretében folyamatosan végzi a banki közvetett költségek szervezeti egységekre történő felosztását, és igény szerint számszerűsíti az egyes tevékenységek önköltségét; az egyes szervezetek költségeit egymással és a banki átlaggal összeveti, erről a szervezeti egységeket és a költséggazdákat tájékoztatja, a nagy eltérések okait feltárja, azokról elemzést készít;
4.39. ellátja a BKB titkársági feladatait, a BKB előterjesztések tartalmi és formai követelményeit meghatározza, az előterjesztéseket minőségbiztosítja;
4.40. ellátja az NKI koordinációs tevékenysége keretében érkező, a szervezeti egység hatáskörébe tartozó feladatokat a vonatkozó belső szabályok szerint.

II.5. Az Informatikai szolgáltatások

Az Informatikai szolgáltatások kiszolgálja a felhasználói igényeket az informatikai rendszerek működtetésével, a számítástechnikai eszközök és rádiótelefonok beszerzési, javítási, karbantartási és üzemeltetési feladatainak elvégzésével, elvégeztetésével; a felhasználók és a szervezeti egységek támogatásával, az informatikai projektek kidolgozásában és végrehajtásában való részvételével. Ellátja a Bank pénzügyi és beruházási tervének informatikai és rádiótelefon-üzemeltetési részével kapcsolatos költséggazdai tevékenységet, IT beruházási és költségkontrolling feladatokat végez, részt vesz beszerzési eljárások lebonyolításában, illetőleg költséggazda szervezeti egységként lebonyolítja – a Központi beszerzés szakmai irányításával – a hatáskörébe tartozó beszerzési eljárásokat.
A szervezeti egység a következő osztályokra tagolódik:
a) informatikai szolgáltatásfejlesztési osztály
b) informatikai üzemeltetési osztály.
E szervezeti alegységek között a feladatkörök az alábbiak szerint oszlanak meg.

5.1. Az informatikai szolgáltatásfejlesztési osztály
5.1.1. irányítja és koordinálja az informatikai fejlesztési programokat, projekteket, elvégzi
– a szervezeti egységek igényeinek befogadását, feldolgozza és javaslatot tesz azok megvalósítására,
– az informatikai fejlesztési igények, célok és javaslatok megfogalmazását,
– az informatikai fejlesztési programok, projektek előkészítését, tervezését, végrehajtását és utólagos nyomon követését, a más szervezeti egységekhez tartozó erőforrások szükség szerinti bevonásával;
5.1.2. informatikai beszerzések esetén felméri és definiálja a szervezeti egységek igényeinek informatikai-szakmai tartalmát, elkészíti a szükséges előterjesztéseket, az ajánlati felhívást, szakmai tanácsokat ad az elbírálási szempontok összeállításához;
5.1.3. részt vesz a szervezeti egység által kötendő fejlesztési és alkalmazás támogatás tárgyú szerződések elkészítésében;
5.1.4. módszertani szabványokat és eljárásokat alakít ki az egységes informatikai projektmenedzsment támogatására;
5.1.5. a projektek előrehaladását nyomon követi, és a kiemelt projektekről időszakonként tájékoztatót készít a Vezetői Bizottság számára;
5.1.6. ellátja az NKI koordinációs tevékenysége keretében érkező, a szervezeti egység hatáskörébe tartozó feladatokat a vonatkozó belső szabályok szerint.

5.2. Az informatikai üzemeltetési osztály
5.2.1. üzemelteti az alkalmazói rendszereket;
5.2.2. felügyeli és üzemelteti a Bank IT infrastruktúráját, szervereit, hálózati elemeit, operációs rendszereit, elvégzi az alkalmazói rendszerek és adatbázisok rendszeradminisztrációját;
5.2.3. ellátja a biztonsági infrastruktúra felügyeleti eszközeinek üzemeltetési feladatait;
5.2.4. biztosítja az informatikai infrastruktúra eszközpark kapacitását, rendelkezésre állását;
5.2.5. informatikai infrastrukturális beruházások esetén felméri és definiálja az igényeket és szakmai tanácsokat ad az elbírálási szempontok összeállításához;
5.2.6. közreműködik az alkalmazói célrendszerek bevezetésében, elvégzi az üzemeltetéshez kapcsolódó feladatokat és adminisztrációs teendőket, ellátja az üzemeltetésre átvett rendszerek felügyeletét;
5.2.7. elvégzi az alkalmazói rendszerek biztonsági mentését;
5.2.8. ellátja a katasztrófa-elhárítási feladatokat, gondoskodik a szervezeti egység ÜFT felelősi feladatainak ellátásról – karbantartja, teszteli a Katasztrófa Elhárítási Tervet;
5.2.9. az alkalmazások üzemeltetési tapasztalatai alapján javaslatot tesz azok funkcióbővítési, hatékonyságjavítási és üzembiztonsági fejlesztésére;
5.2.10. az üzemeltetési szempontok érvényesítése érdekében közreműködik a projektek lebonyolításában, fejlesztési javaslatok kidolgozásában;
5.2.11. felügyeli és üzemelteti a Bank fejlesztési informatikai infrastruktúráját, továbbá biztosítja a külső és belső fejlesztési tevékenységek tesztelési környezetét;
5.2.12. működteti a felhasználói segélyszolgálatot: támogatja a felhasználókat a számítástechnikai eszközök és szoftverek, valamint rádiótelefonok használatában, segítséget nyújt a felmerülő problémák megoldásában, gondoskodik a felhasználókhoz telepített lokális eszközök karbantartásáról, javíttatásáról;
5.2.13. fogadja, elemzi és nyilvántartja az informatikai eszközigényeket, elvégzi a Bank munkatársai számára az eszközök telepítését, áttelepítését és a telepített eszközök visszavonásának teendőit;
5.2.14. megelőző intézkedéseket tesz a Bankban működő alkalmazások biztonságának növelése érdekében;
5.2.15. irányítja és felügyeli az üzemszerűen működő kritikus alkalmazások működést leállító vagy használatát jelentős mértékben korlátozó incidensek elhárítását;
5.2.16. felügyeli és riportolja a társszervezeti egységek és az Informatikai szolgáltatások között fennálló Szolgáltatási Szint Megállapodásokat (SLA);
5.2.17. előkészíti a szervezeti egység által kötendő üzemeltetési tárgyú szerződéseket és részt vesz a szervezeti egység által kötendő informatikai infrastruktúra támogatás tárgyú szerződések elkészítésében;
5.2.18. követi az informatikai technológia haladását, vizsgálja, teszteli, elemzi az új technológiákat, komponenseket, javaslatokat tesz azoknak a Bank rendszereiben történő alkalmazására;
5.2.19. helyzetfelmérést, megvalósíthatóság-tervezést és architektúra menedzsmentet végez az infrastrukturális fejlesztésekre vonatkozó döntések előkészítéséhez;
5.2.20. elvégzi az informatikai architektúrát, valamint a rendszeresített szoftvereket érintő változások hatásvizsgálatát;
5.2.21. elvégzi az informatikai architektúra adatainak nyilvántartásával kapcsolatos teendőket;
5.2.22. ellátja a rádiótelefonok üzemeltetésével kapcsolatos feladatokat;
5.2.23. ellátja az NKI koordinációs tevékenysége keretében érkező, a szervezeti egység hatáskörébe tartozó feladatokat a vonatkozó belső szabályok szerint.

II.6. Az Integrált kockázatkezelés

Az Integrált kockázatkezelés feladata a Bank által kezelt, piaci tényező változásai következtében átárazódó eszközök és források pénzügyi kockázatok szempontjából történő elemzése, az ezekkel kapcsolatos stratégia előterjesztése, végrehajtásának ellenőrzése, valamint a banki munkafolyamatok során felmerülő működési kockázatok feltérképezése és értékelése.
Tevékenysége keretében:
6.1. a Pénz- és devizapiac, illetve a Pénzügyi elemzések közreműködésével kidolgozza az MNB tartalékkezelési stratégiáját, javaslatot tesz a tartalékkezelésben alkalmazott eszközök stratégiai összetételére (stratégiai benchmarkra), illetve a Bank teljes portfoliójához kapcsolódó kockázatvállalási politikára;
6.2. működteti a piaci és hitelkockázatnak kitett eszközök és források teljes körére kiterjedő kockázatmérési és -jelentési rendszert; ennek keretében
– naprakész nyilvántartást vezet a Bank partnereiről, azok jogállásáról, a velük szemben vállalt (a direkt, az értékpapírban megtestesülő és a származékos ügyletekből fakadó) hitelkockázatok mértékéről,
– limitrendszert működtet a hitelkockázatok korlátozására,
– piaci kiértékeléseket és kockázati elemzéseket végez a Bank aktívan kezelt portfoliójára vonatkozóan,
– üzleti szempontból értékeli a Bank tartalékkezelési, valamint devizapiaci tevékenységét;
6.3. ellátja a kockázati limitrendszerek fejlesztési és adminisztrációs feladatait;
6.4. értékeli az üzleti terület tevékenységének eredményességét, meghatározza a kockázati politikának (beleértve a hitel- és a piaci kockázatokat is) megfelelő referencia-portfoliókat (benchmarking);
6.5. ellátja az ALCO tevékenységéhez kapcsolódó szakmai és titkársági teendőket;
6.6. elvégzi a Bank által a tartalék- és adósságkezelés során alkalmazni kívánt új ügylettípusok, kereskedési stratégiák üzleti előkészítését, értékelését;
6.7. nyilvántartást vezet a devizatartalék kezeléshez kapcsolódó pénzügyi műveleteket szabályozó keretszerződéseket és biztosítéki megállapodásokról;
6.8. elvégzi a külföldi hitelintézetek minősítését, illetve a Pénzügyi stabilitással együttműködésben, a bankminősítési rendszer alapján javaslatot tesz a belföldi hitelintézetek minősítésére; közreműködik az értékvesztés/céltartalékképzés mértékének megállapításában;

6.9. ellátja a monetáris politikai eszköztár működtetésével kapcsolatos kockázatkezelési feladatokat, ennek keretében
– szakértői véleményt ad a Bank által elfogadható fedezetek körének meghatározásához,
– a fedezett hitelnyújtás során alkalmazott fedezet befogadási mértékére javaslatot tesz,
– javaslatot tesz a felmerülő piaci kockázatok kezelésére;
6.10. javaslatot tesz a Bank végső hitelezői funkciójának alkalmazásakor, a rendkívüli hitelnyújtás során fedezetként elfogadható eszközök befogadási mértékeire, illetve válsághelyzetben gondoskodik a befogadásra kerülő eszközök piaci értékének megállapításáról;
6.11. a rendszerszerű működési kockázatkezelés megalapozása céljából a banki munkafolyamatokat, illetve azok működési kockázatait feltérképezi;
6.12. a kockázatok nem megengedhető mértékű növekedése, vagy szabályzattól eltérő működés esetén értesíti a Belső ellenőrzést;
6.13. a becsült, tény- és incidens adatok alapján előállítja a működési kockázati mátrixot;
6.14. a kockázati mátrix elemzése alapján értékeli a működési kockázatokat, és azokról beszámol;
6.15. működteti és felügyeli az üzletfolytonossági tervezési rendszert (BCP);
6.16. figyelemmel kíséri az ügyfélpanaszok kezelését;
6.17. ellátja az NKI koordinációs tevékenysége keretében érkező, a szervezeti egység hatáskörébe tartozó feladatokat a vonatkozó belső szabályok szerint.

II.7. A Jogi szolgáltatások

A Jogi szolgáltatások feladata a Bank jegybanki és banküzemi tevékenységeivel, valamint társasági működésével összefüggő valamennyi jogi feladat ellátása, ide nem értve a közbeszerzési eljárások vitelének közbeszerzési jogi megfeleléséről való gondoskodást, amely a Központi beszerzés feladatkörébe tartozik; e mellett gondoskodik a Bank peres, peren kívüli és nem peres eljárásokban való képviseletéről. Szabályozási feladatokat lát el. Költséggazda szervezeti egységként lebonyolítja – a Központi beszerzés szakmai irányításával – a hatáskörébe tartozó beszerzési eljárásokat. Ellátja a Bank Vezetői Bizottsága működésével kapcsolatos szervezési és egyéb titkársági feladatokat. Ellátja a felügyelőbizottsággal (FB) való Bankon belüli kapcsolattartást. A szervezeti egység a hazai kormányzati és más szervekkel való banki kapcsolattartás érdekében a belső és külső koordináció központi szerve.
Ennek keretében:
7.1. kidolgozza a Bank által a működés során használt szerződésmintákat, közreműködik szerződések, üzletszabályzatok kidolgozásában;
7.2. ellát minden olyan jogi operatív feladatot, mely a Bank tevékenységéhez kapcsolódik, ideértve azt is, hogy a Központi beszerzés erre irányuló megkeresése esetén a közbeszerzési törvény és a kapcsolódó jogszabályok értelmezéséhez jogi szakvéleményt szerez be;
7.3. ellát minden olyan jogi feladatot, amely az EU/KBER tagságból ered, kapcsolatot tart az Európai Központi Bank Jogi Főosztályával;
7.4. közreműködik az MNB elnöki rendeletek megalkotásában, gondoskodik a Magyar Közlönyben megjelentetésről, nyilvántartja e rendeleteket;
7.5. figyelemmel kíséri a Bank működését érintő hatályos hazai és közösségi szabályozást, azt a Bank belső információs rendszerében rendszeresen közzé teszi;
7.6. a Bank által felfedett bűncselekmények és szabálysértések miatt feljelentéseket tesz, a feljelentéseket nyilvántartja, kapcsolatot tart az eljáró hatósággal;
7.7. gondoskodik a Bank mint részvénytársaság, illetve mint gazdasági társaságok tulajdonosa társasági jogi ügyeinek intézéséről, a Bankműveletek közreműködésével kiadja a specimenkönyvet;
7.8. gondoskodik a Bank által kiadandó hirdetmények, közlemények, tájékoztatók hivatalos lapban történő megjelentetéséről;
7.9. koordinálja és teljesíti a hatósági megkereséseket, azokról nyilvántartást vezet;
7.10. gondoskodik a Bank peres, peren kívüli és nem peres eljárásaiban történő képviseletről, ideértve a közbeszerzésre vonatkozó jogszabályok megsértése miatt a Bank által, illetve a Bank ellen a Közbeszerzési Döntőbizottság előtt indított jogorvoslati eljárásokat is, és nyilvántartást vezet ezekről az eljárásokról;
7.11. ellátja a Vezetői bizottság működésével kapcsolatos szervezési és egyéb titkársági feladatokat;
7.12. szervezi, illetve koordinálja a kapcsolattartást az Országgyűléssel, Hivatalával, bizottságaival, a minisztériumokkal, a kormányzati szervekkel, valamint a Bank működése szempontjából jelentős egyéb szervekkel;
7.13. ellátja a tárcaközi egyeztetés keretében, valamint egyébként, a minisztériumoktól és más szervektől érkező előterjesztésekre, jogszabálytervezetekre vonatkozó jegybanki álláspont kialakítása érdekében szükséges szervezési és iratkezelési teendőket;
7.14. koordinációs szervként szervezi az FB és a Bank közötti kapcsolattartást, részt vesz az FB-üléseken; közvetíti a Bank érintett vezetői/szervezeti egységei felé az FB határozatokban megfogalmazott információs igényeket és nyomon követi a FB számára történő információátadást; kapcsolatot tart az FB titkárságával, nyilvántartást vezet az FB-nek átadott és az FB-től átvett iratokról;
7.15. elkészíti és karbantartja a Monetáris Tanács és Vezetői Bizottság ügyrendjét, a szakmai bizottságok működési szabályait és a Szervezeti és Működési Szabályzatot;
7.16. megteremti és karbantartja a Bank belső szabályozottságának alapjait, kidolgozza a Bank szabályozási rendszerét, a szabályozási elveket, az egyes szervezetiegység-vezetőkkel egyeztetve meghatározza a szabályozandó tevékenységeket;
7.17. a belső szabályokat jogi szempontból és a belső szabályozás koherenciájának biztosítása érdekében véleményezi;
7.18. a belső szabályok közzétételéről gondoskodik és nyilvántartja azokat;
7.19. ellátja az NKI koordinációs tevékenysége keretében érkező, a szervezeti egység hatáskörébe tartozó feladatokat a vonatkozó belső szabályok szerint.

II.8. A Készpénzlogisztika

A szervezeti egység a jegybank készpénzzel kapcsolatos feladatait látja el: az emlékérmék és -bankjegyek kivételével készpénztervezés, -gyártatás, -forgalmazás, -raktározás, továbbá a beáramló készpénz feldolgozása, selejt készpénz megsemmisítése, belső folyamatszabályozás és minőségellenőrzés, piaci készpénzfeldolgozás technológiai támogatása és ellenőrzése, hamisítványokkal kapcsolatos szakértői munka, jegybank készpénzes üzletpolitikájának meghatározása, hatósági eljárás folytatása. A jegybanki készpénzlogisztika modern ellátásmenedzsment elveknek megfelelő, hatékony és biztonságos ellátása érdekében folyamatosan méri és fejleszti saját tevékenységét, javaslatot tesz a jegybank készpénzes tevékenységére vonatkozó Üzleti feltételek és általános szabályozási környezetének alakítására. A szervezeti egység készíti elő az eurókészpénz hazai bevezetéséhez szükséges jegybanki döntéseket. Ellátja a Bank képviseletét a KBER Banco bizottságában és a hozzá tartozó munkacsoportokban és albizottságokban. Működteti a Készpénzfórumot, ellátja a titkársági feladatait és a Bank képviseletét. Költséggazda szervezeti egységként lebonyolítja – a Központi beszerzés szakmai irányításával – a hatáskörébe tartozó beszerzési eljárásokat.
A szervezeti egység következő szervezeti alegységekre tagolódik:
a) törzs,
b) készpénzforgalmazási osztály,
c) pénzfeldolgozási osztály.
Az egyes munkafeladatok e szervezeti alegységek között az alábbiak szerint oszlanak meg:

8.1. A törzs
8.1.1. elemzési, tervezési és döntés-előkészítési tevékenységet végez készpénz-politikai témákban, mint készpénz-kibocsátás és -bevonás, bankjegy- és érmetervezés és -gyártatás, jegybanki készletek, jegybanki üzletpolitika és külső szabályozás, ide nem értve az emlékérméket és -bankjegyeket;
8.1.2. MNB rendeletek előkészítését végzi az emlékpénzek kivételével a készpénzzel kapcsolatos feladatkörben, a Jogi szolgáltatásokkal együttműködésben;
8.1.3. vezeti a jegybanki szintű bankjegy- és érmenyilvántartásokat, statisztikai elemzéseket készít, illetve adatokat szolgáltat készpénzforgalmi témákban, meghatározza a jegybanki engedéllyel készpénzfeldolgozást végző külső szervezetek adatszolgáltatási kötelezettségét, összesíti és elemzi a megkapott adatokat;
8.1.4. belső minőségellenőrzést végez: ellenőrzi és fejleszti a belső készpénzes tevékenységek minőségét, hatékonyságát és biztonságát, a szabályok betartását a működési és humánkockázatok csökkentése céljából, kidolgozza a pénzkezelési folyamatok belső szabályozását – tartalmuktól függően hatósági eljárás keretében –, intézi az ügyfelek reklamációit;
8.1.5. ellátja a pénzutánzat készítésének engedélyezésével kapcsolatos hatósági feladatokat, valamint a pénzfeldolgozási tevékenységgel kapcsolatos hatósági engedélyezési feladatokat; ez utóbbi vonatkozásában koordinálja az engedélyezés kiadásához szükséges feltételek ellenőrzésében közreműködő szervezeti egységek feladatait;
8.1.6. kialakítja a készpénz-újraforgalombahozatal és a pénzfeldolgozás, valamint az ezen tevékenységekhez kapcsolódó adatszolgáltatás jegybanki ellenőrzésének szempontjait, módszereit; hatósági ellenőrzéseket végez, szükség esetén javaslatot tesz szankcionálásra; bevonja a Bankbiztonságot a pénzfeldolgozási tevékenység biztonsági feltételeinek ellenőrzésébe;
8.1.7. ellátja a szervezeti egység költséggazdai, számviteli és belső gazdálkodási feladatait, megszervezi és figyelemmel kíséri a leltározást;
8.1.8. nyilvántartja az emlékpénzeket, végzi az ezekkel kapcsolatos elszámolási feladatokat, nyilvántartja a jegybankon kívül tárolt pénz- és nemesfémkészleteket;
8.1.9. szervezi és irányítja a forgalomból bevont és selejt érmék, valamint a jegybanki nemesfém készletek hasznosítását;
8.1.10. ellátja az NKI koordinációs tevékenysége keretében érkező, a szervezeti egység hatáskörébe tartozó feladatokat a vonatkozó belső szabályok szerint.

8.2. A készpénzforgalmazási osztály
8.2.1. átveszi, kezeli és készletezi a legyártott bankjegyeket, érméket, nyilvántartja az emlékpénzeket, végzi az ezekkel kapcsolatos elszámolási feladatokat;
8.2.2. a Bank vonatkozó Üzleti feltételei által adott keretek között a jegybank számlatulajdonos és egyéb ügyfelei számára készpénzes tranzakciókat végez;
8.2.3. gondoskodik a szabályoknak megfelelő készletszintek biztosításáról, kezeli a jegybank készpénzkészleteit, ide nem értve az emlékpénzeket, a Bankbiztonsággal együttműködve intézi a jegybanki készpénzszállításokat;
8.2.4. vezeti a kulcsnyilvántartást;
8.2.5. pénzügyi piaci válság-, illetve készpénzlogisztikai BCP helyzetekre terveket gondoz, irányítja a szervezeti egység felkészülését;
8.2.6. gondoskodik a jegybanki üzletpolitika és az üzleti feltételek összhangjának megteremtéséről;
8.2.7. ellátja az NKI koordinációs tevékenysége keretében érkező, a szervezeti egység hatáskörébe tartozó feladatokat a vonatkozó belső szabályok szerint.

8.3. A pénzfeldolgozási osztály
8.3.1. a forgalomban lévő készpénz megfelelő minőségének biztosítása érdekében feldolgozza a visszaáramlott készpénzt a hamisgyanús, illetve nem forgalomképes bankjegyek és érmék kiszűrésére érdekében, gondoskodik a nem forgalomképes bankjegyek megsemmisítéséről;
8.3.2. hatósági eljárás keretében ellenőrzi a pénzfeldolgozási tevékenység engedélyezéséhez szükséges tárgyi feltételek teljesítését; figyelemmel kíséri, teszteléssel és tanácsadással támogatja, illetve ellenőrzi a jegybankon kívüli pénzfeldolgozás minőségét és az ott alkalmazott technológiákat;
8.3.3. biztosítja a jegybanki bankjegyfeldolgozó és megsemmisítő gépek technikai, valamint műszaki felügyeletét;
A pénzfeldolgozási osztályon belüli csoport, a Nemzeti Készpénzszakértői Központ:
8.3.4. szakértői tevékenységet végez a hamis és hamisgyanús magyar és külföldi bankjegyekkel, érmékkel és csekkekkel kapcsolatban, gondoskodik azok őrzéséről, adatok gyűjtéséről és elemzéséről;
8.3.5. figyelemmel kíséri a hamisítások nemzetközi tapasztalatait, a technológiák és technikai eszközök fejlődését, javaslatot tesz a forint bankjegyek fejlesztésére, koordinálja erre irányuló szakmai munkát; valamint képviseli az MNB érdekeit a bankjegy- és érmegyártással összefüggő műszaki és technológiai kérdésekben;
8.3.6. ellátja az euróhamisítás elleni védelmével összefüggő, európai tanácsi előírásokból fakadó nemzeti szintű feladatok koordinálását, ellátja a Nemzeti Bankjegyszakértői Központ illetve a Nemzeti Érmeszakértői Központ feladatait, kapcsolatot tart az ECB Counterfeit Analysis Centre-rel, valamint az EC European Technical and Scientific Centre-rel, hamisítással összefüggő ügyekben a rendőrhatóságokkal, az Europol és az Interpol nemzeti szervezeteivel; biztosítja a kapcsolatot az Európai Központi Bank hamisítvány figyelő rendszerével, a Counterfeit Monitoring System-mel (CMS) és nemzeti szinten biztosítja a CMS-hez való hozzáférés jogosítványait; gyűjti, elemzi, és a CMS felé továbbítja az euróhamisítással összefüggő statisztikai és műszaki adatokat;
8.3.7. a Bank és az Országos Rendőr-főkapitányság közötti megállapodás alapján adatokat szolgáltat, és a hamisnak minősített bankjegyekről és érmékről készült előzetes szakvéleményeket elektronikus formában továbbítja az illetékes nyomozóhatóságnak; kiemelt jelentőségű hamisítási ügyekben kezdeményezi a Jogi szolgáltatásoknál a feljelentés megtételét;
8.3.8. ellátja a pénzutánzat készítésének engedélyezésével kapcsolatos feladatokat;
8.3.9. véleményezi a biztonsági papírokkal kapcsolatos külkereskedelmi tevékenység engedélyezése tárgyában az engedélyező hatósághoz jogi személyek által benyújtott kérelmeket;
8.3.10. ellátja az NKI koordinációs tevékenysége keretében érkező, a szervezeti egység hatáskörébe tartozó feladatokat a vonatkozó belső szabályok szerint.

II.9. A Kommunikáció

A Kommunikáció feladata a Bank egységes és koordinált külső és belső kommunikációjának irányítása és megvalósítása, valamint a sajtószóvivő funkció ellátása. A szervezeti egység vezetője mint sajtószóvivő, a tájékoztató, hírközlő szervek számára jogosult szóban vagy írásban a Bank képviseletében nyilatkozattételre. Felelős a Bank belső kommunikációs rendszerének működtetéséért, valamint gondozza a Bank könyvtárait, és teljesíti a fordítási és publikálási igényeket. Felelős a Bank pénzügyi kultúra fejlesztési tevékenységére vonatkozó szakmai program kialakításáért és végrehajtásáért. A feladatkörébe tartozó kérdésekben részt vesz a Bank társadalmi felelősségvállalási stratégiájának kialakításában. Költséggazda szervezeti egységként lebonyolítja – a Központi beszerzés szakmai irányításával – a hatáskörébe tartozó beszerzési eljárásokat.
Ennek keretében:
9.1. javaslatot tesz a Bank külső kommunikációs stratégiájára és megvalósítja azt, felel a nyilvánosság számára eljuttatni kívánt jegybanki üzenetek megfelelő körben való terjesztéséért, szabályozza a külső kommunikációs tevékenységet;
9.2. kapcsolatot tart a médiával, megszervezi a sajtóeseményeket, az elektronikus sajtófigyelést és a sajtómegjelenések értékelését;
9.3. koordinálja a nyilatkozatra jogosult munkavállalók sajtónyilatkozatait;
9.4. nyilvántartást vezet a felső vezetők konferencián, fórumokon történő megjelenéséről, az ott elhangzott előadásokról, tájékoztatókról és gondoskodik azok publikálásáról;
9.5. szerkeszti, működteti és fejleszti a Bank honlapját (www.mnb.hu), együttműködésben az Informatikai szolgáltatásokkal;
9.6. koordinálja az euró tervezett bevezetésével kapcsolatos kommunikációs feladatok elvégzését, kapcsolatot tart az Európai Központi Bank és más jegybankok kommunikációs szerveivel;
9.7. kialakítja és fejleszti a Bank arculatát;
9.8. javaslatot tesz a Bank támogatási (szponzorálási, adományozási) stratégiájára; döntésre előkészíti a Támogatási Bizottság felé a kérelmeket, koordinálja a teljes támogatási folyamatot;
9.9. a feladatkörébe tartozó kérdésekben javaslatot téve részt vesz a Bank társadalmi felelősségvállalási stratégiájának kialakításában, felel az általa kezdeményezett és elfogadott programok lebonyolításáért, biztosítja a társadalmi felelősségvállalási stratégiában megfogalmazott célok megvalósítását szolgáló programok és kezdeményezések belső és külső kommunikációját, és részt vesz a köztudatos és társadalmi felelősségének tudatában működő jegybanki kultúra fejlesztésében;
9.10. gondoskodik a Bank kiadványainak szerkesztéséről, nyomdai előkészítéséről, előállításáról, nyelvi, nyelvhelyességi szempontú ellenőrzéséről és kiadásáról;
9.11. működteti az információs szolgálatot;
9.12. ellátja az ügyfélpanasznak nem minősülő egyéb panaszok kezelését;
9.13. javaslatot tesz a Bank pénzügyi kultúra fejlesztési stratégiájára, kialakítja és megvalósítja a stratégia szerinti szakmai programokat:
– ismeretterjesztő programokat szervez és működtet;
– a pénzügyi kultúra szempontjából releváns kérdésekben kutatásokat és felméréseket végez, illetve azokra pályázatot ír ki;
– közreműködik a közoktatáson belüli gazdasági és pénzügyi képzés feltételeinek kialakításában;
– működteti a Látogatóközpontot és az ahhoz kapcsolódó oktatási, ismeretterjesztő programokat;
– összeállítja és fejleszti a Bank honlapjához kapcsolódó „Pénziránytű” honlap, valamint együttműködések kapcsán külső médiafelületeken kialakított, hasonló célú rovatok/honlapok szakmai tartalmát;
– képviseli a jegybankot a pénzügyi kultúra fejlesztését célzó intézményközi programokban, és kialakítja a külső szereplőkkel folytatandó együttműködés formáit;
– a pénzügyi tudatosság növelése érdekében szakmai tanácsadással támogatja a pénzügyi kultúra fejlesztésére létrehozott alapítványokat (Öngondoskodás Alapítvány és Tudatos Pénzügyekért Alapítvány), illetve ellátja a Tudatos Pénzügyekért Alapítvánnyal kapcsolatos működtetési feladatokat;
– konferenciákon, fórumokon, illetve publikációkban, nemzetközi pénzügyi kultúra hálózatokban és munkacsoportokban képviseli a jegybankot a pénzügyi kultúra fejlesztéséhez kapcsolódó témákban;
9.14. gondozza a bankjegy- és éremgyűjteményt;
9.15. ellátja az emlékpénz-kibocsátással kapcsolatos feladatokat, ide nem értve az elszámolási, készletezési és raktározási tevékenységet, továbbá ellátja a forgalmi érmék, illetve bankjegyek emlékváltozatainak kibocsátásával összefüggő témaválasztási, terveztetési és kommunikációs feladatokat;
9.16. elkészíti a Jogi szolgáltatások közreműködésével az emlékpénzekkel kapcsolatos MNB rendeletek tervezetét;
9.17. meghatározza és működteti a Bank belső kommunikációs rendszerét, szervezi és működteti a vezetők és a munkatársak közötti kétirányú kapcsolattartást, továbbá szabályozza a belső kommunikációs tevékenységet;
9.18. szervezi a belső rendezvényeket;
9.19. szerkeszti és kiadja a Bank belső lapját;
9.20. szerkeszti, működteti a Bank intranet-rendszerét;
9.21. felméri a Bank egészére vonatkozó időszaki és egyéb kiadványi igényeket, beszerzést végez, a hazai és külföldi pénzügyi, közgazdaságtudományi szakirodalmat gyűjti, feldolgozza, és hozzáférhetővé teszi;
9.22. kezeli a szoftverek és dokumentációk könyvtárát, a szoftverek és dokumentációk vonatkozásában leltározási feladatokat lát el;
9.23. kezeli a Világbank letéti gyűjteményét;
9.24. virtuális könyvtárat fejleszt és működtet, biztosítja az elektronikus dokumentumok, információs hálózatok és könyvtári adatbázisok használatát;
9.25. olvasószolgálati teendőket lát el (kölcsönzés, könyvtárközi kölcsönzés, olvasóterem, igény szerint témafigyelés stb.) a Bank munkatársai és a Bankon kívüli használók részére;
9.26. gyűjti, kezeli, és hozzáférhetővé teszi a Bank munkavállalói és családtagjai számára a szépirodalmi és általános szakirodalmi műveket;
9.27. nyilvántartja a Bankban felmerülő és az EKB-val való együttműködésből következő fordítási és tolmácsolási igényeket, gondoskodik a fordítások elkészíttetéséről, tolmácsok rendeléséről;
9.28. ellátja az NKI koordinációs tevékenysége keretében érkező, a szervezeti egység hatáskörébe tartozó feladatokat a vonatkozó belső szabályok szerint.

II.10. A Központi beszerzés

A Központi beszerzés feladata, hogy szakmai hozzáértésével irányítsa a Bank beszerzési folyamatait, illetve lebonyolítsa a hatályos beszerzési utasítás szerint hatáskörébe tartozó beszerzési eljárásokat. A költséggazda szervezeti egységek közreműködésével összeállítja az éves beszerzési tervet, melynek során meghatározza az eljárást befolyásoló főbb elemeket, biztosítva a stratégiai beszerzési szemlélet érvényesülését, valamint az éves beszerzési tervben meghatározott céloknak a közbeszerzésekről szóló törvényben (Kbt.) és annak végrehajtási rendeleteiben foglalt szabályok szerinti teljesülését.
Ennek keretében:
10.1. elkészíti és karbantartja a Bank beszerzéseinek és az ezekhez kapcsolódó szerződések előkészítésének rendjéről szóló belső szabályt (a Bank beszerzési eljárásai előkészítésének, lefolytatásának, belső ellenőrzésének felelősségi rendjét, meghatározva a Bank nevében eljáró, illetőleg az eljárásba bevont személyek, szervezetek felelősségi körét és ezen eljárások dokumentálásának rendjét);
10.2. gondoskodik arról, hogy a Bank közbeszerzési eljárásainak vitele mindenkor feleljenek meg a Kbt. és végrehajtási rendeletei szabályainak;
10.3. kapcsolatot tart a közbeszerzési intézményekkel (Közbeszerzési Tanács, Közbeszerzési Döntőbizottság, Közbeszerzési Értesítő Szerkesztőbizottsága stb.);
10.4. a Kbt. és a kapcsolódó jogszabályok értelmezéséhez külső hatóságtól vagy szervezettől állásfoglalást szerez be;
10.5. elkészíti és karbantartja a kötelezettségvállalások eljárási rendjét;
10.6. a beszerzési igényeket gazdaságossági szempontból elemzi, igényeket és a stratégiai tervet összehangolja;
10.7. javaslataival támogatja a költséggazda szervezeti egységeket a beszerzések előkészítő, tervezési fázisában;
10.8. összeállítja a beszerzési ütemtervet a költséggazda szervezeti egységekkel egyeztetve, elkészíti az éves közbeszerzési tervet és az éves statisztikai összegzést;
10.9. kidolgozza a beszerzési stratégiát a költséggazda szervezeti egységekkel közösen (költések és felhasználások elemzése, beszerzési kategóriák kialakítása, kategória stratégiák meghatározása);
10.10. piacfelméréshez módszertant biztosít, piacelemzéseket készít a költséggazdákkal együttműködve (benchmark-elemzések, piaci trendek és versenyhelyzet elemzése);
10.11. a hatáskörébe tartozó beszerzési eljárásokat megelőzően a lehetséges beszállítókat felkutatja, költség- és árkalkulációkat készít, a megfelelő ajánlattevői kör kiválasztására javaslatot tesz a költséggazdák közreműködésével;
10.12. értékelési és alkalmassági kritériumokat dolgoz ki a költséggazdákkal közösen;
10.13. a beszerzési tárgyalásokat előkészíti (alkupozíciók felmérése, tárgyalási stratégia kidolgozása), a tárgyalásokat vezeti, a tárgyalások, illetve a szerződés előkészítése során a Bank javára előnyös szerződéses feltételeket alakít ki;
10.14. kialakítja a szállítók teljesítményének mérési, illetve a szerződések követési, értékelési, utóminősítési módszertanát, a kialakított rendszert a költséggazdákkal működteti;
10.15. a lezárult beszerzési eljárások vonatkozásában tapasztalatot gyűjt, értékeli az eljárásokat, tudástárat kezel;
10.16. a beszerzési folyamatokat, az azokhoz kapcsolódó rendszereket rendszeresen felülvizsgálja, folyamatosan optimalizálja, a minőségi fejlesztéseket koordinálja;
10.17. jelentéseket, mutatószámrendszer alapján statisztikákat készít a beszerzési szervezet munkájáról.

II.11. A Kutatás

A Kutatás szervezeti egység feladata, hogy közgazdasági elméleti és empirikus kutatásaival megalapozza a Bankban folyó alkalmazott kutatásokat és elemzéseket, amelyekre monetáris politikai döntések épülnek. A Bank nemzetközi presztízsének növelése és a kutatások szakmai színvonala biztosításának érdekében a kutatások eredményeit elismert nemzetközi szakfolyóiratokban publikálja. Támogatja a Bank egyéb területein folyó kutató- és elemző munkát. Konferenciákat szervez, vendégkutatókat hív azért, hogy a Bank kutatóit és elemzőit megismertesse a közgazdaságtudomány legújabb eredményeivel, hogy lehetőséget biztosítson a Bank kutatói és elemzői számára a közgazdaságtudomány vezető képviselőivel való közvetlen kapcsolatfelvételre, szakmai véleménycserére, valamint hogy ezzel is elősegítse a Bank nemzetközi és hazai szakmai elismertségének növekedését. Jegybanki elemzők és kutatók szakmai fejlesztése és ezzel a monetáris döntéstámogató rendszer hatékonyságának fejlesztése érdekében működteti a Jegybanki Tanulmányok Oktatási Központját.
Ennek keretében:
11.1. tanulmányokat készít jegybanki érdeklődésre számot tartó témákban külföldi és magyar szakfolyóiratokban történő publikálás céljából;
11.2. részt vesz a Bank egyéb területein folyó modellfejlesztésben;
11.3. szakmai támogatást nyújt a Bank egyéb területein folyó kutató- és elemző munkához;
11.4. működteti a Jegybanki Tanulmányok Oktatási Központját, és biztosítja, hogy a központ oktatási programjairól más jegybankok elemzői és a monetáris politika iránt érdeklődő elemzők is tájékoztatást kapjanak;
11.5. szerkesztőbizottsági tagként részt vesz az MNB Working Papers című kiadványsorozatának szerkesztésében;
11.6. szervezi a Bank hazai és külföldi résztvevőkre épülő, a „Budapest Economic Seminar Series” részét képező előadássorozatát;
11.7. szervezi a Bank vendégkutató programját;
11.8. konferenciákat, szakmai műhelyeket szervez a nemzetközi kutatói kapcsolatok elmélyítése, illetve a Bankban folyó kutatási tevékenység bemutatása érdekében;
11.9. közreműködik az EKB kutatási projektjeiben;
11.10. ellátja az NKI koordinációs tevékenysége keretében érkező, a szervezeti egység hatáskörébe tartozó feladatokat a vonatkozó belső szabályok szerint.

II.12. A Monetáris stratégia és közgazdasági elemzés

A Monetáris stratégia és közgazdasági elemzés szervezeti egység feladata a monetáris rendszer kereteinek meghatározásával és a monetáris politika vitelével kapcsolatos döntések előkészítése a többi érintett szervezeti egység véleményének figyelembevételével, valamint felelős a Monetáris Tanács által hozott döntések kommunikációjának előkészítéséért. A szervezeti egység a magyar gazdaság működésének és a monetáris politika hatásmechanizmusának megismerését szolgáló elemző kutatómunkát végez, értékeli és előrejelzi az inflációs folyamatot meghatározó makrogazdasági folyamatokat, valamint elemzi a monetáris rezsim és a pénzügyi közvetítő rendszer stabilitását befolyásoló makrogazdasági és pénzügyi piaci fejleményeket. A szervezeti egység felelős a Jelentés az infláció alakulásáról című kiadvány elkészítéséért, közreműködik a Jelentés a pénzügyi stabilitásról című kiadvány elkészítésében, rendszeresen tájékoztatja a Bank felső vezetését a hazai makrogazdasági folyamatok alakulásáról, és az európai gazdaságpolitikai fórumokon (EKB, EU-intézmények) felmerülő, a monetáris politika szempontjából releváns témákról. A szervezeti egység képviseli a jegybankot az EKB Monetáris Politikai Bizottságában és annak munkacsoportjaiban, valamint közreműködik a nemzetközi hitelminősítőket érintő ügyekben.
Ennek keretében:
12.1. felelős a Pénzügyi elemzések szervezeti egységgel együttműködve a Monetáris Tanács kamatmeghatározó üléseire készülő, makrogazdasági, pénzügyi piaci és stratégiai szempontokat integráló háttéranyag és a közleménytervezet elkészítésért;
12.2. azonosítja, elemzi a kamat- és árfolyam-politikát érintő stratégiai kérdéseket; folyamatosan felülvizsgálja a monetáris rezsim intézményi vonásait; elemzi az ERM II-tagsággal és az eurózóna-belépéssel kapcsolatos kérdéseket;
12.3. azonosítja és elemzi a monetáris rezsim, illetve a pénzügyi közvetítő rendszer stabilitása szempontjából releváns makrogazdasági és pénzügyi piaci fejleményeket;
12.4. nyomon követi a monetáris politika szempontjából releváns, az európai gazdaságpolitikai fórumokon (EKB, EU-intézmények) felmerülő aktuális témákat; ezekről rendszeres tájékoztatást nyújt a vezetőknek, és lehetséges MNB-álláspontokat alakít ki;
12.5. közreműködik a Jelentés a pénzügyi stabilitásról című jelentés makrogazdasági fejezetének elkészítésében;
12.6. elemzi a hazai makrogazdasági folyamatok, ezen belül kiemelten az infláció és az arra ható hazai és világgazdasági tényezők alakulását; és előrejelzi e makrogazdasági változók alakulását; ehhez kapcsolódóan – a Statisztikával együttműködve – statisztikai adatokat dolgoz fel és publikál; a Pénzügyi elemzések szervezeti egységgel kooperációban elemzi a külső egyensúly várható alakulását, mely együttműködésben felelős az éven túli/hosszabb távú folyamatok elemzéséért és előrejelzéséért;
12.7. a 12.6. pontban megjelölt feladatok ellátására alkalmas makrogazdasági modelleket épít, azokat üzemelteti, alkalmazza és fejleszti;
12.8. felelős a Jelentés az infláció alakulásáról című kiadvány elkészítéséért;
12.9. a 12.6. és 12.7. pontokban megjelölt területeken részt vesz a tagállami jegybankok (KBER) szakmai együttműködésében és képviseli a Bankot az Európai Bizottság munkacsoportjaiban;
12.10. a 12.1. pontban megjelölt témákban gondoskodik a nemzetközi kormányközi szervezetek, illetve a Magyarország államadósságának minősítését végző nemzetközi hitelminősítő intézetek információs igényének kielégítéséről, az ilyen szervezetek és intézetek által készített elemzések és értékelések véleményezéséről;
12.11. részt vesz a makrogazdasági folyamatokra jelentős hatással bíró kormányzati döntésekkel kapcsolatos jegybanki álláspont kialakítására irányuló munkában;
12.12. évente két alkalommal koordinálja a Bank még fennálló szamurájkötvényeihez kapcsolódó Securities Report mellékletét képező Recent Economic Developments című anyag elkészítését;
12.13. tanulmányokat készít a monetáris politika vitele szempontjából érdeklődésre számot tartó témákban;
12.14. makrogazdasági modelleken végzett szimulációs vizsgálatok elvégzésével hozzájárul a döntés-előkészítő munkához;
12.15. értelmezi, magyar adatokra alkalmazza a közgazdaságtan eredményeit a magyar gazdaság működésének jobb megértése érdekében;
12.16. a Kutatással együttműködve közreműködik az EKB kutatási projektjeiben;
12.17. ellátja az NKI koordinációs tevékenysége keretében érkező, a szervezeti egység hatáskörébe tartozó feladatokat a vonatkozó belső szabályok szerint.

II.13. A Működési szolgáltatások

A Működési szolgáltatások szervezeti egység feladata a Bank működéséhez szükséges – a tevékenységi körébe tartozó – dologi feltételek biztosítása; beszerzések lebonyolítása, műszaki szolgáltatások nyújtása; a raktár- és eszközgazdálkodás; az épületek állagának megőrzésével, átalakításával, hasznosításával, kapcsolatos döntések előkészítése, beruházások esetében a terveztetés, a beruházás, a kivitelezés megszervezése; a Bank épületeiben a létesítmény-felügyeleti, gondnoki teendők ellátása; a rádiótelefonok kivételével a Bank távközlési és irodai eszközeinek, valamint a gépjárműparkjának üzemeltetése. A szervezeti egység a működési területére és a költséggazda funkciójából eredően végzi a Bank éves és középtávú fejlesztési és működési tervezését, gazdálkodik e költségekkel és vezeti az ehhez kapcsolódó analitikát. Működteti a Bank központi és operatív irattárait; felelős az eredeti okiratok nyilvántartásáért és őrzéséért, ellátja az expediálási és kézbesítési feladatokat, gondoskodik a konferenciák szervezésével kapcsolatban a feladatkörébe utalt teendők ellátásáról, valamint a nyomdai előállítást nem igénylő sokszorosítási, szerkesztési tevékenységek ellátásáról. Szakmai főfelelősként intézi az elektronikus iratkezelő rendszerekkel kapcsolatos feladatokat. A társadalmi felelősségvállalás egyes pillérei tekintetében az érintett szervezeti egységekkel együttműködve, összeállítja a Bank társadalmi felelősségvállalási stratégiáját. Gondoskodik a jogszabályi előírásokból adódóan a Bankra háruló környezetvédelmi feladatok megvalósításáról.
Ennek keretében:
13.1. ellátja a Bank ingatlanjaival kapcsolatos beruházói, építési, építés jellegű egyéb felújítási és épület-fenntartási feladatokat;
13.2. működteti a Bank épületeiben az épületfelügyeleti rendszert; ellátja az ezekkel kapcsolatos üzemeltetési és ellenőrzési teendőket; nyilvántartja és rendszerezi az épületekkel kapcsolatos terveket; gondoskodik az épületek állagmegóvásáról, intézi a beruházások teljes folyamatát; központilag ellátja az energiagazdálkodással, a közművekkel kapcsolatos feladatokat; számlaellenőrzést és fizikai teljesítésigazolást végez;
13.3. a rádiótelefonok kivételével üzemelteti a távközlési és egyéb berendezéseket, ezen belül: végzi a távközlési és egyéb irodai eszközök beszerzését, gondoskodik a telefonvonalak, fénymásolók elosztásáról; ellenőrzi és feldolgozza a szolgáltatók által küldött számlák adatait; működteti a működési szolgáltatások központi ügyfélszolgálatát;
13.4. üzemelteti a Bank gépjárműparkját; irányítja és ellenőrzi a személy- és eszközszállítást; végzi a gépjárművek beszerzését, értékesítését; gondoskodik a gépjárművek üzembiztonságáról, karbantartásáról, fenntartásáról; nyilvántartásáról; üzemanyag elszámolást és ellenőrzést végez;
13.5. az érintett szervezeti egységek részvételével összeállítja a Bank társadalmi felelősségvállalási stratégiáját, kialakítja és működteti a Társadalmi Felelősségvállalási Rendszert, összefogja és koordinálja a szervezeti egységek társadalmi felelősségvállalási kezdeményezéseit, biztosítja azok nyilvántartását, visszamérését és szükség szerint gondoskodik az akciók indításának döntés-előkészítéséről;
13.6. felügyeli a Bank környezetvédelmi és hulladékgazdálkodási tevékenységét;
13.7. a hatáskörébe delegált beruházási és működési költségek költséggazdája, ennek keretében a mindenkor hatályos belső szabályoknak megfelelően beszerez és beszereztet, lebonyolítja – a Központi beszerzés szakmai irányításával – a hatáskörébe tartozó beszerzési eljárásokat, szolgáltatói szerződéseket köt; lebonyolítja a megrendeléseket; elvégzi az általa kezelt szerződések, megrendelések alapján beérkezett számlák ellenőrzését; utalványozását; kezeli és aktualizálja a tevékenységéhez szükséges nyilvántartásokat; folyamatosan ellenőrzi a költségfelhasználást; részt vesz a költségtervezésben;
13.8. lebonyolítja a Bank szervezeti egységei által leadott anyag- és eszközigényléseket; raktári készletezést és nyilvántartást végez; elvégzi a számlaellenőrzést és teljesítésigazolást; szakreferensi és raktározási feladatokat lát el, karitatív hasznosítási tevékenységet folytat a feleslegessé vált eszközök vonatkozásában;
13.9. gazdálkodik a Bank központi irodahelyiségeivel és kezeli az ingatlan-adatbázist; gondnoki és vagyonkezelői teendőket lát el, központi diszpécseri tevékenységet folytat a szerződésben álló, állandó külsős munkavállalókkal; felügyeli és ellenőrzi a büfé üzemeltetését;
13.10. lebonyolítja a vendégek fogadásával, a konferenciák szervezésével és egyes központi rendezvényekkel kapcsolatban a hatáskörébe utalt teendőket, végzi a protokoll tevékenység adminisztrációját, a központi tárgyalók foglalását;
13.11. karbantartja, a Bank iratkezelési, irattározási és az iratselejtezési szabályozását; működteti a Bank központi, valamint operatív irattárait; szakirányítja a szervezeti egységek iratkezelési és irattározási tevékenységét; elvégzi, illetve elvégezteti a selejt iratanyagok megsemmisítését; gondoskodik a nem selejtezhető – történeti értékkel rendelkező – iratanyagok átadásáról a Magyar Országos Levéltár részére;
13.12. kezeli és működteti az elektronikus iratkezelő rendszereket (MonDoc – iratkezelő rendszer, Szertár – egyéb jogviszonyból eredő dokumentumok, szerződések tárolási rendszere); nyilvántartásba veszi a beérkezett küldeményeket; elvégzi a küldemények, a banki kiadványok, a pályázati és egyéb anyagok kiadását, átvételét, expediálását; ellátja az expediálással, iratkezeléssel és a banki kiadványokkal kapcsolatos ügyfélszolgálatot; elvégzi a Hivatali Kapu kezelésével és működtetésével kapcsolatos feladatokat, ideértve a Hivatali Kapuhoz való hozzáférési jogosultságok nyilvántartását; nyilvántartást vezet a tárolt kiadványokról; végzi és felügyeli a bank működéséhez szükséges kézbesítői tevékenységet;
13.13. elvégzi a Bankban keletkező, illetve a Bankhoz érkező, valamint a szervezeti egységek által igényelt dokumentumok – nyomdai előállítást nem igénylő – sokszorosítását, a belső megrendelők által igényelt és a feladatkörébe tartozó dokumentumok szerkesztését, kötészeti és szkennelési munkákat;
13.14. vezeti, egyezteti és átvezeti az általa őrzött, irattárba még nem helyezhető dokumentumokban, adathordozókban szereplő lényeges adatokat, az azokban bekövetkezett változásokat; figyelemmel kíséri és támogatja a szervezeti egységek iratkezelési tevékenységét a dokumentumok, adathordozók rendszeres felülvizsgálatában; koordinálja és felügyeli a szelektív papírhulladék gyűjtését, elszállítását;
13.15. másolatot készít és ad ki az intézkedésre jogosult vagy kötelezett, továbbá a közreműködő szervezeti egységeknek, vezetőknek az általa tárolt dokumentumokról, adathordozókról; szakmai főfelelősként intézi az elektronikus iratkezelő rendszerekkel kapcsolatos feladatokat;
13.16. ellátja az NKI koordinációs tevékenysége keretében érkező, a szervezeti egység hatáskörébe tartozó feladatokat a vonatkozó belső szabályok szerint.

II.14. A Nemzetközi kapcsolatok

A szervezeti egység az európai uniós (EU) és KBER-tagsággal, illetve az Eurórendszerhez való csatlakozás előkészítésével összefüggésben az Európai Központi Bank (EKB), a Központi Bankok Európai Rendszere (KBER) és az Európai Bizottság (EB), valamint az Európai Koordinációs Tárcaközi Bizottság (EKTB), továbbá a Nemzeti Euró Koordinációs Bizottság (NEB) és albizottságai Bankon belüli kapcsolattartójaként koordinálja a Bankra háruló feladatok ellátását. Ellátja továbbá a Nemzetközi Valutaalapban (IMF), a Gazdasági Együttműködés és Fejlesztés Szervezetében (OECD), valamint a Nemzetközi Fizetések Bankjában (BIS) fennálló tagsággal és ezen intézményekkel folytatott konzultációkkal összefüggésben a Bank feladatait, közreműködik az együttműködést érintő kormányzati döntések előkészítésében. Figyelemmel kíséri a fenti szervezetek és intézmények tevékenységét, és arról rendszeresen tájékoztatókat készít. Szervezi és lebonyolítja a befektetői találkozókat.
Ennek keretében:
14.1. a Bank egészét átfogó koordinatív funkciókat lát el az ország uniós tagságával, az MNB KBER-ben való részvételével, valamint a Banknak az Eurórendszerhez történő csatlakozásával összefüggő feladatait illetően; ennek keretében az EKB, valamint az EB jelentéseiből a Bank felső vezetése számára rendszeresen összefoglalókat készít;
14.2. az egyes szakterületekkel való előzetes konzultáció alapján koordinálja a Bank elnökének, illetve alelnökeinek felkészítését az EKB Általános Tanácsának, a KBER Nemzetközi Kapcsolatok Bizottságának és az EU Gazdasági és Pénzügyi Bizottságának üléseire;
14.3. kapcsolattartói minőségében kezeli és koordinálja a CebaMail hozzáférési rendszerét;
14.4. gondoskodik a KBER és az EKB Alapokmányának 38. cikkében foglalt szakmai titoktartási követelmények MNB-n belüli végrehajtásáról;
14.5. koordinálja a Bank illetékes szervezeti egységeinek az EB, kiemelten annak Gazdasági és Pénzügyi Főigazgatóságával való kapcsolattartását és együttműködését;
14.6. koordinálja a Bank részvételét az EU Bank számára szakmailag releváns bizottságaiban és egyéb fórumain;
14.7. Bankon belül koordinálja az EU-tagságból adódó és az Eurórendszerhez történő csatlakozási folyamathoz kapcsolódó, MNB-t is érintő kormányzati feladatok előkészítését és végrehajtását; továbbá ellátja az EKTB-ben a Bank operatív képviseletét;
14.8. koordinálja a NEB és albizottságai működéséből adódó, a bank hatáskörébe tartozó feladatokat;
14.9. az érintett szervezeti egységek közreműködésével gondoskodik az érintett banki vezetőknek a NEB-ben, albizottságaiban viselt társelnöki/elnöki megbízatásuk hatékony ellátásához szükséges felkészítéséről;
14.10. koordinálja az Eurórendszer Csatlakozási Programterv banki szintű rendszeres aktualizálását;
14.11. ellátja az EU nemzeti központi bankjaival való kapcsolattartás koordinációs feladatait;
14.12. figyelemmel kíséri az IMF, az OECD és a BIS tevékenységét, folyamatosan tanulmányozza döntési mechanizmusait és annak változásait, és mindezekről rendszeresen tájékoztatókat készít;
14.13. koordinálja a Bank illetékes szervezeti egységeinek az OECD szakbizottságaival való együttműködéséből adódó feladatokat;
14.14. folyamatosan kapcsolatot tart az IMF-fel, ellátja a Bankra, mint jogszabály által kijelölt pénzügyi szervre háruló feladatokat, valamint elvégzi az IMF-ben a Magyarországot képviselő kormányzói funkcióival összefüggő teendőket; szervezi és koordinálja az IMF-fel való megbeszéléseket;
14.15. koordinálja a Bank Elnökének a BIS Kormányzói ülésein való részvételét és a BIS által kidolgozott központi banki felmérésekben történő MNB részvételt;
14.16. ellátja az egyéb nemzetközi jellegű feladatokat, kiemelten: koordinálja más nemzetközi szervezetekkel kapcsolatban a Bankot érintő esetlegesen felmerülő feladatokat és kapcsolatot tart fenn az EU-n kívüli központi bankokkal;
14.17. a pénzügyi és makrogazdasági folyamatokról való hiteles tájékoztatás érdekében koordinálja és lebonyolítja a piaci szereplők – ideértve a külföldi jegybankokat, nemzetközi pénzügyi intézményeket, szervezeteket, külföldi és hazai befektetőket, elemzőket – és a Bank vezetőinek és más munkavállalóinak találkozóit (ún. befektetői találkozók), kivéve a tartalékkezeléssel kapcsolatos kétoldalú találkozókat.

II.15. A Pénz- és devizapiac

A Pénz- és devizapiac szervezeti egység pénz-, deviza- és tőkepiaci műveleteket végez egyfelől az adósságállomány kezelésére, másfelől a tartalékállomány befektetésére; közreműködik az MNB adósságkezelési és tartalékpolitikájának kialakításában; végzi a Bank monetáris politikai célú nyíltpiaci műveleteit; jegyzi a Bank hivatalos árfolyamát, a Bubor, BIRS bankközi referencia kamatlábat. Részt vesz a monetáris politikai eszköztár fejlesztésére és követendő árfolyam-politikára vonatkozó döntés-előkészítési folyamatban; rendszeres és eseti elemzéseket, tájékoztatókat, felkészítő anyagokat készít az ALCO és a banki felső vezetők részére a hazai és nemzetközi deviza-, pénz- és tőkepiaci folyamatokról; ellátja a Bank és az Állam közti Megbízási szerződésből rá háruló feladatokat. Karbantartja a pozícióvezető rendszer törzsadatait és gondoskodik a rendszer által mutatott pozíciók helyességéről; teljesíti a Bank értékpapír-statisztikájával kapcsolatos adatszolgáltatást.
Közreműködik az üzletpolitika készítésében a levelező banki kapcsolatra (nostro számlák, értékpapírszámlák, nemzetközi bankkapcsolatok), valamint az Államadósság Kezelő Központ Zrt. részére végzett devizaszámla-vezetésre vonatkozóan.
Ennek keretében:
15.1. végrehajtja a Bank nyíltpiaci műveleteit a hazai deviza-, pénz- és tőkepiacokon, vezeti az ezekkel kapcsolatos nyilvántartást, karbantartja a Bank hírügynökségeknél fenntartott információs oldalait;
15.2. a Bank nyíltpiaci műveleteire, valamint követendő árfolyam-politikájára vonatkozó döntéseknél javaslattevőként és szakértői véleményadóként jár el a Pénzügyi elemzések szervezeti egység mint fő javaslattevő felé;
15.3. felelős a Bank nettó devizapozíciójának és a devizatartalékok aranyban megtestesülő részének kezeléséért;
15.4. fenntartja a Bank üzletkötői státuszát a Budapesti Értéktőzsdén, állampapírokra a tőzsdén kívül is üzleteket köt;
15.5. javaslatot tesz az ALCO-nak konkrét eszköz- és forrásgazdálkodási kérdésekben;
15.6. megállapítja és közzéteszi a külföldi pénznemek forintban kifejezett hivatalos devizaárfolyamát, valamint Bubor és BIRS bankközi referencia kamatlábakat;
15.7. negyedévente megadja a Bank hivatalos deviza árfolyamlapján nem szereplő külföldi pénznemek euróban kifejezett árfolyamát a Magyar Közlönyben való közzététel céljából;
15.8. közreműködik a Bank végső hitelezői funkciójának alkalmazásakor, a rendkívüli hitelnyújtás során fedezetként elfogadható eszközök piaci értékének megállapításánál. Az Operatív válságkezelő bizottság elnökének döntése alapján értékesíti az elvonásra került értékpapírokat;
15.9. a megadott befektetési irányelvek és kockázati limitek között kezeli a szervezeti egységre bízott devizatartalékon belül kialakított befektetési és likviditási portfóliókat;
15.10. a nemzetközi deviza- és tőkepiacokon rövid lejáratú határidős üzleteket, valamint közép- és hosszú lejáratú kamat- és árfolyam-fedezeti üzleteket köt, továbbá másodpiaci adósságkezelési műveleteket végez;
15.11. közreműködik a hosszú távú tartalékpolitika kialakításában, kezdeményezi új befektetési eszközök és csatornák alkalmazását, valamint javaslatot tesz az ALCO-nak konkrét eszköz- és forrásgazdálkodási kérdésekben; vezetői információs rendszert működtet a deviza-, pénz- és tőkepiaci fejlemények folyamatos figyelemmel kísérésére;
15.12. a belföldi hitelintézetekkel konvertibilis devizában pénzpiaci műveleteket végez;
15.13. a Bankművelettel együttműködve biztosítja a Bank napi devizalikviditását, az esedékes kötelezettségek teljesítése érdekében az illetékes szervezeti egységeknek megadja a szükséges diszpozíciókat;
15.14. képviseli a Bankot az EKB Nyíltpiaci műveletek Bizottságában (MOC) és annak piacfigyelő munkacsoportjában;
15.15. ellátja az NKI koordinációs tevékenysége keretében érkező, a szervezeti egység hatáskörébe tartozó feladatokat a vonatkozó belső szabályok szerint.

II.16. A Pénzforgalom és értékpapír-elszámolás

A Pénzforgalmi és értékpapír-elszámolási szervezeti egység alapvető tevékenysége a jegybank hazai pénzforgalomban betöltött fő szerepköreinek (kivéve a készpénzforgalommal kapcsolatos szerepkört) ellátását – a felvigyázói, a fejlesztői és a szolgáltatói funkciókat – leghatékonyabban támogató cél- és eszközrendszer kialakítása, működtetése és folyamatos fejlesztése, az elfogadott nemzetközi gyakorlat és alapelvek alkalmazásával, különös tekintettel az EU és a GMU integrációból adódó feladatokra.
Ellátja a fizetési és értékpapír-elszámolási rendszerek kialakításával, biztonságos és hatékony működésének felvigyázásával és a pénzforgalom (ide nem értve a készpénzforgalmat) zavartalan lebonyolításával kapcsolatos feladatokat, amellyel támogatja a pénzügyi rendszer stabilitását. Feladatkörébe tartozóan hatósági eljárásokat folytat.
A szervezeti egység feladatai:
16.1. szakmai szempontból előkészíti a szervezeti egység feladatkörébe tartozó MNB elnöki rendeleteket, közreműködik a más jogalkotók fő felelősségi körébe tartozó, pénzforgalommal kapcsolatos jogszabályok kidolgozásában, véleményezésében;
16.2. hatósági eljárás keretében – ideértve a szakhatósági közreműködést is – ellátja a hazai fizetési és elszámolási rendszerekkel (beleértve a központi szerződő felet is) kapcsolatos engedélyezési, illetve engedélyezésekben való közreműködési feladatokat;
16.3. jellegétől függően hatósági ellenőrzés keretében ellenőrzi a VIBER, a BKR és a KELER működésének megbízhatóságát, szabályszerűségét a Belső ellenőrzés, a Jogi szolgáltatások és a Bankbiztonság, illetve külső szervezetek bevonásával;
16.4. kialakítja és folyamatosan karbantartja a Bank felvigyázási tevékenységének kereteit, ideértve különösen a felvigyázási politika meghatározását és annak megvalósítását szolgáló módszertan kialakítását;
16.5. a pénzforgalom, valamint a fizetési és elszámolási forgalom, illetve az értékpapír-forgalom alakulásáról – a Statisztikával együttműködve – statisztikai adatokat dolgoz fel és publikál;
16.6. ellátja a belföldi fizetési és értékpapír-elszámolási rendszerek felvigyázásával kapcsolatos feladatokat, kiemelten e rendszerek időszakos, felvigyázói szempontú átfogó értékelését;
16.7. a Pénzügyi stabilitással együttműködve részt vesz a belföldi pénzforgalom kockázatainak felmérését célzó kutatásokban, elemzésekben, a kulcs jelzőszámok meghatározásában, közreműködik a Stabilitási Jelentés kidolgozásában;
16.8. folyamatosan nyomon követi, elemzi, értékeli a fizetési és az értékpapír-elszámolási rendszerek működését, az országos pénzforgalom alakulását; javaslatokat és ajánlásokat dolgoz ki a hazai fizetési és értékpapír-elszámolási rendszerek, valamint a belföldi pénzforgalom továbbfejlesztésére, kiemelten a készpénz-helyettesítő, elektronikus fizetési módok és eszközök széleskörű alkalmazásának elősegítésére;
16.9. kialakítja a fizetési és az értékpapír-elszámolási rendszerek, valamint a pénzforgalom jegybanki ellenőrzésének szempontjait, módszereit, lebonyolítja a vizsgálati program szerint a hatósági ellenőrzéseket, elkészíti a vizsgálati jelentéseket és szükség esetén javaslatot tesz szankcionálásra; konzultációkat szervez a vizsgálatokban érintett szervezetek számára a vizsgált témakörökre vonatkozó előírások ismertetésére, gyakorlati alkalmazásukra;
16.10. működteti a Fizetési Rendszer Fórumot, ellátja a titkársági feladatokat és képviseli a bankot, illetve szakmai irányítást biztosít az egyes szakbizottságokban (ide nem értve a készpénzforgalmi szakbizottságot), kiemelten a SEPA megvalósításával kapcsolatos hazai feladatokra;
16.11. az Emberi erőforrások, szervezés és tervezés, a Pénz- és devizapiac, valamint a Bankműveletek szervezeti egységekkel egyeztetve kialakítja a Bank pénzforgalmi szolgáltatásaira (kivéve a készpénzforgalmi szolgáltatásokat) vonatkozó díj- és üzletpolitikát;
16.12. kormányzati felkérésre közreműködik a pénzmosással és a terrorizmus finanszírozásával kapcsolatos jogszabályok, egyéb intézkedések kidolgozásában, képviseli a Bankot a pénzmosás megelőzésére létrejött tárcaközi bizottságban, ellátja a pénzmosás és a terrorizmus finanszírozása elleni törvényből fakadó hatósági – beleértve a kapcsolódó ellenőrzési, illetve szükség esetén a szabályozásra vonatkozó konzultációs – feladatokat a kiegészítő pénzügyi szolgáltatási tevékenységnek minősülő pénzfeldolgozás vonatkozásában (a pénzfeldolgozókat érintő feladatkörök tekintetében egyeztet a Készpénzlogisztikával);
16.13. elkészíti a PSZÁF részére a pénzforgalmi szolgáltatások nyújtásának, továbbá az elektronikus pénz, valamint olyan papír alapú készpénz-helyettesítő fizetési eszközök kibocsátásának és az ezzel kapcsolatos szolgáltatás nyújtásának, amelyek nem minősülnek pénzforgalmi szolgáltatásnak engedélyezéséhez adandó szakhatósági véleményt;
16.14. ellátja a fizetési, illetve értékpapír-elszámolási rendszerekben történő teljesítés véglegességéről szóló törvényben meghatározott kijelölő és értesítő hatósági feladatokat, összeállítja, karbantartja és közzéteszi a tőkemegfelelési mutató számítása szempontjából elfogadottnak minősülő elszámolóházak jegyzékét;
16.15. képviseli a Bankot a KBER fizetési és elszámolási rendszerekkel foglalkozó bizottságában (PSSC), illetve annak munkacsoportjaiban, valamint az EU Bizottsága mellett működő kormányzati pénzforgalmi szakértők munkacsoportban (PSGEG), képviseli a Bankot a fizetési és értékpapír-elszámolási rendszerekkel, valamint a pénzforgalommal kapcsolatos jogalkotási, EU jogharmonizációs egyeztetéseken;
16.16. ellátja az NKI koordinációs tevékenysége keretében érkező, a szervezeti egység hatáskörébe tartozó feladatokat a vonatkozó belső szabályok szerint;
16.17. képviseli a Bankot a Magyar Szabványügyi Testület pénzügyi szekciójának munkájában;
16.18. ellátja a Bank korábban megszűnt devizahatósági funkciójának következtében felmerülő levelezési és információszolgáltatási feladatokat;
16.19. a hatósági eljárást folytató szervezeti egységekkel együttműködve kialakítja a Bank szankcionálási politikájának alapelveit;
16.20. ellátja a Pénzügyi Rendszert Felvigyázó Bizottság (PRFB) titkársági feladatait;
16.21. kialakítja a jegybanki fedezetkezelési rendszer architektúráját.

II.17. A Pénzügyi elemzések

A Pénzügyi elemzések szervezeti egység elemzi és fejleszti a monetáris politikai eszköztár működését, összefogja a bank nyíltpiaci műveleteire, az árfolyam-politika megvalósítását szolgáló eszközrendszerre és a devizatartalék optimális szintjére vonatkozó döntések előkészítését. Rendszeresen tájékoztatja a Bank felső vezetését és a Monetáris Tanácsot a hazai, nemzetközi pénzügyi piaci és egyes makrogazdasági folyamatok alakulásáról. Elemzi a fiskális politikát, a devizapiac keresleti-kínálati tényezőit, a hazai pénzügyi piacok működését, a devizaárfolyam és a hozamok alakulását befolyásoló tényezőket, továbbá a pénzpiacok likviditási helyzetét. Értékeli és előrejelzi e területek fejleményeit az inflációs folyamatok és a pénzügyi közvetítő rendszer stabilitása szempontjából. A szervezeti egység közreműködik a Jelentés az infláció alakulásáról és a Jelentés a pénzügyi stabilitásról c. kiadványok elkészítésében, ellátja a Monetáris Tanács és az Implementációs bizottság szakmai titkári feladatát, képviseli a Bankot az EKB Pénzpiaci Műveletek Bizottságában, valamint a monetáris politikai eszköztárhoz és a fiskális politikához kapcsolódó munkacsoportjaiban. Feladatkörébe tartozóan hatósági eljárásokat folytat.
A szervezeti egység részletes feladatai:
17.1. elemzi a pénz- és devizapiaci folyamatokat különös tekintettel a lehetséges monetáris politikai döntések pénzpiaci hatására, javaslatokat tesz az eszköztár módosítására vonatkozóan, továbbá közreműködik a kamat- és árfolyam-politikára, valamint a monetáris politika kommunikációjára vonatkozó javaslatok kidolgozásában;
17.2. működteti, tartalmilag meghatározza és a Statisztika bevonásával karbantartja, illetve továbbfejleszti a monetáris politikai döntéseket előkészítő információs rendszert, valamint részt vesz a jegybanki információs rendszerre vonatkozó MNB elnöki rendelet előkészítésében;
17.3. elemzi a monetáris politikai eszközök működésének a monetáris politikai és a gazdaságpolitikai célokkal való összhangját és a hozamgörbét;
17.4. elemzéseket készít a rövid távú pénz-, deviza- és tőkepiaci folyamatokról;
17.5. alkalmazott pénzpiaci kutatásokat végez, kvantitatív módszerekkel és modellekkel elemzi a pénz- és tőkepiacokat, azok kapcsolatát a monetáris politikai döntésekkel, illetve azok kommunikációjával;
17.6. a Monetáris stratégia és közgazdasági elemzés szervezeti egységgel együttműködve elkészíti a Monetáris Tanács kamatmeghatározó üléseire készülő háttéranyag pénzügyi piaci fejezetét;
17.7. kidolgozza és figyelemmel kíséri a monetáris politikai eszköztárt, ezen belül javaslatot tesz az irányadó eszköz, a kötelező tartalékszabályozás, a jegybanki kamatfolyosó és a hitel, illetve betéti tenderek feltételeinek módosításaira, a jegybanki partnerkör és az elfogadható fedezeti kör meghatározására;
17.8. ellenőrzi a kötelező tartalék-előírások végrehajtását, meghatározza a tartalék után fizetett kamatot, és – jellegétől függően hatósági eljárás keretében – ellátja a szankcionálással kapcsolatos feladatokat;
17.9. irányítja a jegybanki kamatlábváltozások és a kamatrendelet közzétételét;
17.10. a Pénz- és devizapiaccal együttműködve javaslatot tesz a Bank forint és devizapiaci üzleti feltételeinek és az abban szereplő ügyletekhez kapcsolódó számlákkal kapcsolatos üzletpolitikának a módosításaira; együttműködik a Pénzügyi stabilitással a pénz- és tőkepiac fejlődését elősegítő intézkedésekkel, a Bankműveletekkel, valamint a Pénzforgalom és értékpapír-elszámolással a fizetési és elszámolási rendszerekkel kapcsolatos jegybanki álláspont kialakításában;
17.11. a monetáris politikai eszköztár működésével kapcsolatban figyelemmel kíséri és elemzi a pénz- és tőkepiaci folyamatok és az intézményrendszer alakulását és más jegybankok monetáris politikai eszköztárának változásait; a Pénzügyi stabilitással együttműködve rendszeresen elemzéseket készít a hazai pénzügyi piacok struktúrájáról;
17.12. ellátja az Európai Központi Bank Pénzpiaci Műveletek Bizottságában és az Európai Központi Bank monetáris politikai eszköztárhoz, illetve fiskális politikához kapcsolódó munkacsoportjaiban a Bank képviseletét;
17.13. éves kitekintéssel előrejelzi a jegybankmérleget, a különböző szektorok nettó finanszírozási képességét, valamint a devizapiaci kereslet és kínálat főbb komponenseit; az előrejelzéseket lebontja rövidebb időszakokra (negyedév, hónap), és folyamatosan összeveti a pénzfolyamatok tényleges alakulásával, elemzi az eltérések okait, és ezek alapján javaslatot tesz a monetáris politikai eszközrendszer alkalmazására;
17.14. heti rendszerességgel napi bontású likviditási előrejelzést készít, azt figyelemmel kíséri, és szükség esetén javaslatot tesz gyorstenderek alkalmazására;
17.15. folyamatosan értékeli és szükség esetén korszerűsíti a pénzügyi programozás módszereit;
17.16. elemzi és előrejelzi a költségvetési hiány és adósság alakulását, figyelemmel kíséri az államháztartás finanszírozását, elemzi a finanszírozásnak a monetáris folyamatokra, a pénzpiacok alakulására, a likviditásra gyakorolt hatását; a fiskális pálya előrejelzése és a finanszírozás területén kapcsolatot tart fenn az ÁKK és a Nemzetgazdasági Minisztérium szakértőivel; a Monetáris stratégia és közgazdasági elemzés és a Kutatás szervezeti egységekkel együttműködve kutatásokat folytat fiskális politikai kérdésekben, illetve véleményez egyes fiskális politikával kapcsolatos törvényeket és a konvergencia programot;
17.17. közreműködik a Bank devizatartalék stratégiájának kialakításában: javaslatot tesz a devizatartalék optimális szintjére és az államháztartás finanszírozási szerkezetével kapcsolatos jegybanki álláspontra, illetve biztosítja a monetáris politikai szempontok megjelenését a devizatartalék-stratégiában;
17.18. a Jelentés az inflációról című kiadványban a Monetáris stratégia és közgazdasági elemzéssel együttműködve elkészíti pénzügyi piacok, a költségvetési hiány és államadósság, illetve a külső egyensúlyi helyzet elemzését és előrejelzését;
17.19. közreműködik a Jelentés a pénzügyi stabilitásról című kiadvány makrogazdasági fejezetének az elkészítésében;
17.20. a 17.7, a 17.13. és a 17.16. pontokban megjelölt témákban gondoskodik a nemzetközi kormányközi szervezetek, illetve a Magyarország államadósságának minősítését végző nemzetközi hitelminősítő intézetek információs igényének kielégítéséről, az ilyen szervezetek és intézetek által készített elemzések és értékelések véleményezéséről;
17.21. ellátja a Monetáris Tanács üléseinek szakmai előkészítését, részt vesz az üléseken, elkészíti a jegyzőkönyv-szövegtervezeteket, részt vesz a Monetáris Tanács közleményeinek kialakításában és gondoskodik azok előkészítéséről, kiadásáról; szakmai titkári kapcsolatot tart a Monetáris Tanács tagjaival;
17.22. ellátja a Monetáris Tanács és az Implementációs bizottság működésével kapcsolatos szervezési és egyéb titkársági feladatokat;
17.23. ellátja az NKI koordinációs tevékenysége keretében érkező, a szervezeti egység hatáskörébe tartozó feladatokat a vonatkozó belső szabályok szerint.

II.18. A Pénzügyi stabilitás

A Pénzügyi stabilitás szervezeti egység feladata a pénzügyi közvetítő rendszer – intézmények és a pénzügyi piacok – stabilitásának támogatására és erősítésére irányuló munka összefogása, illetve elvégzése. A szervezeti egység pénzügyi stabilitási szempontból elemzi az intézményrendszer – kiemelten a hitelintézetek, pénzügyi vállalkozások, intézményi befektetők, valamint a pénzügyi piacok – működését, értékeli a rendszerszinten fellépő kockázatokat, továbbá kialakítja a jegybank pénzügyi közvetítő rendszer biztonságos fejlődését elősegítő szabályozási koncepcióit.
Felelős a „Jelentés a pénzügyi stabilitásról” című kiadvány elkészítéséért, közreműködik a Jelentés az infláció alakulásáról című kiadvány elkészítésében, rendszeresen tájékoztatja a Bank felső vezetését a pénzügyi stabilitás alakulásáról Magyarországon és a nemzetközi intézményekben ezzel kapcsolatban felmerült kérdésekről és problémákról.
A Nemzetgazdasági Minisztériummal és a Pénzügyi Szervezetek Állami Felügyeletével együttműködve felkészül egy esetleges pénzügyi válság hatékony kezelésére, valamint egy esetleges válsághelyzetben megteszi a szükséges lépéseket.
A Pénzügyi stabilitás szervezeti egység szakértői véleményt ad a Bank által az Európai Központi Bank Bankfelügyeleti Bizottságába, az Európai Unió és az OECD pénzügyi stabilitási kérdésekkel foglalkozó bizottságaiba delegált képviselőnek.
Részletes feladatai:
18.1. pénzügyi stabilitási szempontból rendszeresen figyelemmel követi és elemzi a pénzügyi közvetítőrendszer – intézmények és pénzügyi piacok – fejlődését, súrlódásait, válságjelenségeit, kockázati pontjait;
18.2. a jegybank pénzügyi stabilitási funkciójának hatékony ellátása érdekében továbbfejleszti a pénzügyi stabilitás elemzési módszereit;
18.3. az Implementációs bizottság és a Monetáris és Pénzügyi Stabilitási Fórum részére elemzéseket készít a pénzügyi közvetítőrendszert jellemző stabilitási jellemzőkről, a hazai és nemzetközi stabilitást veszélyeztető jelenségekről;
18.4. kidolgozza és karbantartja a magyar makroprudenciális indexet (HMPI), melyet rendszeresen publikál;
18.5. kidolgozza, korszerűsíti és működteti a Bank félévente lebonyolított, hitelezési vezetők körében végzett kérdőíves felmérését, melynek eredményeit publikálja;
18.6. évente legalább egy alkalommal elkészíti a Jelentés a pénzügyi stabilitásról c. kiadványt, melyet a Monetáris Tanács elé terjeszt;
18.7. együttműködik a Jelentés az inflációról c. kiadvány pénzügyi piacokat érintő elemzéseinek elkészítésében;
18.8. a Pénzügyi elemzésekkel együttműködve, rendszeres elemzést készít a pénzügyi piacok struktúrájáról, és közreműködik az egyes gazdasági szektorok finanszírozási szerkezetének elemzésében és előrejelzésében;
18.9. gondoskodik a Pénzügyi Stabilitási Tanáccsal, tagjaival és szakmai titkárával való kapcsolattartásról; feladatkörébe tartozóan előterjesztéseket, tájékoztatókat készít, egyéb esetekben koordinálja azok elkészítését a Pénzügyi Stabilitási Tanács számára, koordinálja, illetve feladatkörébe tartozó kérdésekben elkészíti a jegybanki álláspont kialakítására vonatkozó javaslatot a Pénzügyi Stabilitási Tanács által tárgyalt, de nem a Bank által benyújtott előterjesztésekről és tájékoztatókról, illetve felkészítőket állít össze a Tanácsban a Bankot képviselő személy részére; a háromoldalú Pénzügyi Stabilitási Bizottságban a jegybankot képviselő alelnök részére rendszeres felkészítő anyagokat készít;
18.10. a pénzügyi stabilitással kapcsolatos témákban kutató-elemző munkát végez, az elkészült anyagokat a Bank belső fórumai elé terjeszti, illetve a Bank különböző kiadványsorozataiban és külső folyóiratokban publikálja;
18.11. kialakítja, továbbfejleszti és az elemzési munka során felhasználja a bankszektor viselkedését és a makro környezettel való kölcsönhatásait leíró modelleket; e modellek segítségével makrostresszteszteket végez;
18.12. a pénzügyi rendszer stabilitásában meghatározó hitelintézeteket, bankcsoportokat, illetve részpiacokat a Pénzügyi Szervezetek Állami Felügyeletével együttműködve folyamatosan elemzi, erről meghatározott időszakonként tájékoztatást készít, intézkedést igénylő esetekben tájékoztatja a hatáskörileg illetékes vezetőket, javaslatot tesz az intézkedésekre;
18.13. aktívan részt vesz a pénzügyi közvetítőrendszer – intézmények és piacok – szabályzáspolitikai koncepciójának kialakításában, elemzi a jegybanki intézkedéseknek és külső szabályozói változásoknak a pénzügyi intézmények tevékenységére gyakorolt hatását;
18.14. képviseli a Bankot a pénzügyi közvetítő rendszer stabilitása szempontjából fontos pénz- és tőkepiaci jogszabályok véleményezésében, ide nem értve a pénzforgalommal és a pénz- és értékpapír-elszámolási rendszerekkel kapcsolatos kérdéseket;
18.15. elemzéseket készít a pénzügyi szektorra vonatkozó, rendszerkockázat, illetve pénzügyi stabilitás szempontjából kiemelt fontosságú szabályozási kérdésekről;
18.16. kialakítja a Bank végső hitelezői funkciójának alapelveit és a hitelintézetek likviditási válságának kezelésével kapcsolatos belső eljárásrendet, előkészíti és koordinálja a szükséghelyzetbe került hitelintézetekkel kapcsolatos döntéseket, gondoskodik a döntések végrehajtásáról, vizsgálja a hitelintézetek közötti kapcsolatrendszer alapján a fertőzésveszély valószínűségét; kapcsolatot tart és együttműködik a válság megoldásában érintett egyéb jegybankokkal és intézményekkel;
18.17. a Nemzetgazdasági Minisztérium és a Pénzügyi Szervezetek Állami Felügyelete bevonásával válságszimulációs gyakorlatokat tart, valamint kialakítja és időszakonként felülvizsgálja a válsághelyzetben történő együttműködés kereteit;
18.18. működteti és tartalmilag meghatározza a pénzügyi stabilitási elemzéseket megalapozó információs rendszert, valamint részt vesz a jegybanki információs rendszerre vonatkozó MNB elnöki rendelet előkészítésében;
18.19. a Statisztika bevonásával gondoskodik a pénzügyi stabilitási elemzéseket megalapozó információs rendszer karbantartásáról, illetve továbbfejlesztéséről;
18.20. felelős a háromoldalú NGM–MNB–PSZÁF, valamint a kétoldalú MNB–PSZÁF együttműködési megállapodás MNB-n belüli koordinálásért;
18.21. javaslatot tesz a pénzügyi stabilitás fenntartásában érintett hazai társintézményekkel, valamint a pénzügyi közvetítő rendszer tagjaival történő együttműködés tartalmi-formai elemeire;
18.22. figyelemmel kíséri más jegybankok, nemzetközi intézmények pénzügyi stabilitással kapcsolatos tevékenységét;
18.23. feladatköréhez kapcsolódóan ellátja a Bank képviseletét az EKB Bankfelügyeleti Bizottságának munkacsoportjaiban;
18.24. képviseli a jegybankot a nemzetközi intézmények (IMF, BIS stb.) makroprudenciális elemzés fejlesztését célzó programjaiban;
18.25. az Európai Unió és az EKB illetékes bizottságain keresztül részt vesz az Európai Unió pénzügyi tárgyú jogszabályainak kidolgozásában és a véleményezési folyamatában;
18.26. ellátja az NKI koordinációs tevékenysége keretében érkező, a szervezeti egység hatáskörébe tartozó feladatokat a vonatkozó belső szabályok szerint.

II.19. A Statisztika

A Statisztika szervezeti egység feladata a Bank – egyes, az MNB tv.-ben meghatározott alapfeladataihoz kapcsolódó – statisztikai szolgálatának ellátása és ennek keretében a Bank információs rendszerének és adattárházának kialakítása, működtetése, karbantartása és fejlesztése. Alapfeladatának jó minőségben való elvégzése érdekében a szervezeti egység minőségbiztosítási rendszert működtet, amely kiterjed a teljes statisztikakészítési folyamat támogatására, a felhasználói igények felmérésétől kezdve a kérdőívek megtervezésén, az adatgyűjtésen, adat-előkészítésen, a statisztikai feldolgozáson keresztül egészen a publikációig és a felhasználói elégedettség méréséig. A Statisztika feladatkörébe tartozóan hatósági eljárásokat folytat.
A szervezeti egység a következő osztályokra tagolódik:
a) fizetési mérleg osztály,
b) monetáris statisztikai osztály,
c) pénzügyi számlák osztálya,
d) adatszolgáltatói kapcsolatok, minőségbiztosítási és koordinációs osztály,
e) üzleti intelligencia kompetencia központ.
E szervezeti alegységek között a feladatkörök az alábbiak szerint oszlanak meg.

19.1. A fizetési mérleg osztály
A fizetési mérleg osztály – a Banknak a monetáris politikakialakítása és hatékony vitele, valamint a pénzügyi rendszer stabilitása tekintetében fennálló feladatai ellátása érdekében – összeállítja a fizetésimérleg-statisztikát és az annak részét képező statisztikákat. Ennek keretében
19.1.1. az adatszolgáltatói kapcsolatok, minőségbiztosítási és koordinációs osztálytól státuszjelentésekkel együtt átveszi a START-rendszerben feldolgozott adatokat, és az FMR-rendszer működtetésével elvégzi a feldolgozást; ezt követően hatósági ellenőrzés keretében makro szintű ellenőrzésnek veti alá a fizetésimérleg-alapadatokat, meghatározza az adatfeldolgozás ellenőrzési szempontjait;
19.1.2. a társadalmi költségtudatosság elvének szem előtt tartásával tervezi az adatgyűjtéseket, rendszerezi és statisztikai szempontból elemzi a fizetésimérleg-adatokat;
19.1.3. az adatszolgáltatói kapcsolatok, minőségbiztosítási és koordinációs osztállyal együttműködve kidolgozza és karbantartja az osztály feladatkörébe tartozó statisztikák módszertanát, kidolgozza és dokumentálja az alkalmazott becslési eljárási módszereket;
19.1.4. közzéteszi a fizetésimérleg-adatokat, és az adatok kommentálásával rendszeres sajtóközleményeket készít, illetve elkészíti a Bank fizetésimérleg-statisztikával kapcsolatos jelentéseit a kormányhivatalok és a banki vezetők tájékoztatására;
19.1.5. összefogja és esetenként előállítja a Bankon belüli, valamint a külső fizetésimérleg-adatszolgáltatásokat;
19.1.6. a Bankban folyó elemző és döntés-előkészítő munkához, valamint a kormányzat és a nemzetközi szervezetek részére fizetésimérleg-statisztikai adatokat szolgáltat; a külső felhasználókkal és a statisztikai adatokat felhasználó szervezeti egységekkel folyamatos kapcsolatot tart, az újonnan felmerült igényekről, ezek javasolt kezelési módjáról, valamint a felhasználói visszajelzésekről folyamatosan tájékoztatja az adatszolgáltatói kapcsolatok, minőségbiztosítási és koordinációs osztály vezetőjét;
19.1.7. együttműködik a hazai és nemzetközi intézményekkel a fizetésimérleg-statisztikákkal kapcsolatos ügyekben, és képviseli az MNB-t a KBER Statisztikai Bizottságának Fizetésimérleg munkacsoportjában (Working Group of External Statistics) és a munkacsoport által egyes célfeladatokra létrehozott ideiglenes szervezetek (Task Force-ok) munkájában, valamint részt vesz az Eurostat, az OECD és az IMF fizetési mérleggel és külföldi befektetési pozícióval kapcsolatos munkacsoportjainak munkájában;
19.1.8. az adatszolgáltatói kapcsolatok, minőségbiztosítási és koordinációs osztállyal együttműködve, folyamatba épített ellenőrzési és minőségbiztosítási rendszert alakít ki és működtet a hatáskörébe tartozó statisztikai tevékenységekre, e rendszer követelményeinek megfelelve kialakítja és folyamatosan fejleszti a statisztikák összeállításához beérkező adatok folyamatos helyszínen kívüli ellenőrzésének módszertanát;
19.1.9. a kialakított módszertan alapján folyamatos hatósági ellenőrzést végez;
19.1.10. a kockázati tényezők mérlegelése alapján részt vesz az eseti helyszínen kívüli, illetve helyszíni hatósági ellenőrzésekben;
19.1.11. hatósági eljárás keretében, az elvégzett ellenőrzések vizsgálati eredménye alapján, szükség szerint intézkedést kezdeményez az adatszolgáltatókkal szemben;
19.1.12. nyomon követi az ellenőrzések során feltárt hiányosságok kiküszöbölésére tett intézkedéseket az adatszolgáltatóknál;
19.1.13. átadja az üzleti intelligencia kompetencia központ részére az adattárházban tárolandó, az osztály feladatkörébe tartozó adatokat adatmegőrzés céljából és ellátja az adatokkal kapcsolatos szakmai ellenőrzési feladatokat és szakmai kapcsolatot tart az adattárház felhasználóival;
19.1.14. ellátja az NKI koordinációs tevékenysége keretében érkező, a szervezeti egység hatáskörébe tartozó feladatokat a vonatkozó belső szabályok szerint.

19.2. A monetáris statisztikai osztály
A monetáris statisztikai osztály – a Banknak a monetáris politika, valamint a pénzügyi rendszer prudenciális felügyeletére vonatkozó politika kialakítása és hatékony vitele, továbbá a pénzügyi rendszer stabilitása tekintetében fennálló feladatai ellátása érdekében – összeállítja a monetáris és a pénzügyi stabilitási célú, a pénzforgalmi, a fizetési és elszámolási forgalmi, illetve az értékpapír-forgalom alakulásáról szóló statisztikákat és egyéb, a feladatkörébe tartozó statisztikákat. Ennek keretében
19.2.1. az adatszolgáltatói kapcsolatok, minőségbiztosítási és koordinációs osztálytól státuszjelentésekkel együtt átveszi, majd hatósági ellenőrzés keretében makro szintű ellenőrzés alá veti a monetáris statisztikai jelentések elkészítéséhez szükséges alapadatokat, meghatározza az adatfeldolgozás során alkalmazandó ellenőrzési szempontokat;
19.2.2. a társadalmi költségtudatosság elvének szem előtt tartásával tervezi az adatgyűjtéseket, rendszerezi és statisztikai szempontból elemzi a monetáris adatokat;
19.2.3. állást foglal a monetáris és pénzügyi stabilitási statisztikai adatszolgáltatásokat és a hitelintézetek kötelező tartalékolási kötelezettségét érintő kérdésekben, és meghatározza a hitelintézetek által elhelyezendő kötelező tartalék összegét;
19.2.4. az adatszolgáltatói kapcsolatok, minőségbiztosítási és koordinációs osztállyal együttműködve kidolgozza és karbantartja az osztály feladatkörébe tartozó statisztikák módszertanát, kidolgozza és dokumentálja az alkalmazott becslési módszereket;
19.2.5. összeállítja és közzéteszi a monetáris és pénzügyi stabilitási statisztikai adatokat és azok módszertani leírását, valamint az adatok mellett azok értelmezését is tartalmazó rendszeres sajtóközleményeket készít;
19.2.6. a Bankban folyó elemző és döntés-előkészítő munkához, valamint a kormányzat és a nemzetközi szervezetek részére monetáris és pénzügyi stabilitási statisztikai adatokat szolgáltat; a külső felhasználókkal és a statisztikai adatokat felhasználó szervezeti egységekkel folyamatos kapcsolatot tart, az újonnan felmerült igényekről, ezek javasolt kezelési módjáról, valamint a felhasználói visszajelzésekről folyamatosan tájékoztatja az adatszolgáltatói kapcsolatok, minőségbiztosítási és koordinációs osztály vezetőjét;
19.2.7. együttműködik a hazai és a nemzetközi intézményekkel, a monetáris és a pénzügyi stabilitási statisztikákkal kapcsolatos ügyekben, ellátja az MNB képviseletét a KBER Statisztikai bizottságának Monetáris és pénzpiaci statisztikai munkacsoportjában (Working Group on Monetary and Financial Markets Statistics) és részt vesz a munkacsoport által egyes célfeladatokra létrehozott ideiglenes szervezetek (Task Force-ok) munkájában;
19.2.8. az adatszolgáltatói kapcsolatok, minőségbiztosítási és koordinációs osztállyal együttműködve, folyamatba épített ellenőrzési és minőségbiztosítási rendszert alakít ki és működtet a hatáskörébe tartozó statisztikai tevékenységekre, e rendszer követelményeinek megfelelve kialakítja és folyamatosan fejleszti a statisztikák összeállításához beérkező adatok folyamatos helyszínen kívüli ellenőrzésének módszertanát;
19.2.9. a kialakított módszertan alapján folyamatos hatósági ellenőrzést végez;
19.2.10. a kockázati tényezők mérlegelése alapján részt vesz az eseti helyszínen kívüli, illetve helyszíni hatósági ellenőrzésekben;
19.2.11. hatósági eljárás keretében, a monetáris és a pénzügyi stabilitási statisztikai és kötelező tartalékolással kapcsolatos adatszolgáltatások vonatkozásában elvégzett ellenőrzésének vizsgálati eredménye alapján, szükség szerint intézkedést kezdeményez az adatszolgáltatókkal szemben;
19.2.12. nyomon követi az ellenőrzések során feltárt hiányosságok kiküszöbölésére tett intézkedéseket az adatszolgáltatóknál;
19.2.13. átadja az üzleti intelligencia kompetencia központ részére az adattárházban tárolandó, az osztály feladatkörébe tartozó adatokat, ellátja az adatokkal kapcsolatos szakmai ellenőrzési feladatokat és szakmai kapcsolatot tart az adattárház felhasználóival;
19.2.14. ellátja az NKI koordinációs tevékenysége keretében érkező, a szervezeti egység hatáskörébe tartozó feladatokat a vonatkozó belső szabályok szerint.

19.3. A pénzügyi számlák osztálya
A pénzügyi számlák osztálya – a Banknak a monetáris politika, kialakítása és hatékony vitele, valamint a pénzügyi rendszer stabilitása tekintetében fennálló feladatai ellátása érdekében – összeállítja a pénzügyi számlák statisztikát és az annak részét képező statisztikákat. A pénzügyi számlák osztálya feladatkörébe tartozik továbbá – a Banknak a monetáris politika kialakítására és hatékony vitelére vonatkozó feladata ellátását szolgáló – értékpapír-statisztika összeállítása.
Ennek keretében
19.3.1. az adatszolgáltatói kapcsolatok, minőségbiztosítási és koordinációs osztálytól státuszlistákkal átveszi, ezt követően hatósági ellenőrzés keretében makro szintű ellenőrzés alá veti a pénzügyi statisztikákhoz szükséges alapadatokat, meghatározza az adatfeldolgozás ellenőrzési szempontjait;
19.3.2. az államháztartási statisztika területén a Központi Statisztikai Hivatallal és a Nemzetgazdasági Minisztériummal érvényben lévő megállapodás alapján a két intézménnyel a statisztikák összeállításában együttműködik;
19.3.3. a társadalmi költségtudatosság elvének szem előtt tartásával tervezi az adatgyűjtéseket;
19.3.4. az adatszolgáltatói kapcsolatok, minőségbiztosítási és koordinációs osztállyal együttműködve kidolgozza és karbantartja az osztály feladatkörébe tartozó statisztikák módszertanát, kidolgozza és dokumentálja az alkalmazott becslési eljárási módszereket;
19.3.5. rendszerezi a pénzügyi statisztikákhoz (pénzügyi számlákhoz, értékpapír-statisztikákhoz) szükséges adatokat, összeállítja a pénzügyi statisztikákat, adatokat tesz közzé, és azok kommentálásával rendszeres sajtóközleményeket készít;
19.3.6. elvégzi a részére előírt (belső és külső) adatszolgáltatási feladatokat, koordinálja az Európai Központi Bank Központosított Értékpapír-adatbázisával az adatcserét, a külső felhasználókkal és a statisztikai adatokat felhasználó szervezeti egységekkel folyamatos kapcsolatot tart, az újonnan felmerült igényekről, ezek javasolt kezelési módjáról, valamint a felhasználói visszajelzésekről folyamatosan tájékoztatja az adatszolgáltatói kapcsolatok, minőségbiztosítási és koordinációs osztály vezetőjét;
19.3.7. együttműködik a hazai és nemzetközi intézményekkel, a pénzügyi számlákkal és értékpapír-statisztikákkal kapcsolatos ügyekben; ellátja az MNB képviseletét a KBER Statisztikai bizottságának az Államháztartás statisztikai (Government Financial Statistics), valamint az Euróövezeti számlák (Euro-Area Accounts) munkacsoportjaiban és részt vesz a munkacsoport által egyes célfeladatokra létrehozott ideiglenes szervezetek (Task Force-ok) munkájában;
19.3.8. az adatszolgáltatói kapcsolatok, minőségbiztosítási és koordinációs osztállyal együttműködve folyamatba épített ellenőrzési és minőségbiztosítási rendszert alakít ki és működtet a hatáskörébe tartozó statisztikai tevékenységekre, e rendszer követelményeinek megfelelve kialakítja és folyamatosan fejleszti a statisztikák összeállításához beérkező adatok folyamatos helyszínen kívüli ellenőrzésének módszertanát;
19.3.9. a kialakított módszertan alapján folyamatos hatósági ellenőrzést végez;
19.3.10. a kockázati tényezők mérlegelése alapján részt vesz az eseti helyszínen kívüli, illetve helyszíni hatósági ellenőrzésekben;
19.3.11. hatósági eljárás keretében, az elvégzett ellenőrzések vizsgálati eredménye alapján, szükség szerint intézkedést kezdeményez az adatszolgáltatókkal szemben;
19.3.12. nyomon követi az ellenőrzések során feltárt hiányosságok kiküszöbölésére tett intézkedéseket az adatszolgáltatóknál;
19.3.13. átadja az üzleti intelligencia kompetencia központ részére az adattárházban tárolandó, az osztály feladatkörébe tartozó adatokat, ellátja az adatokkal kapcsolatos szakmai ellenőrzési feladatokat és szakmai kapcsolatot tart az adattárház felhasználóival;
19.3.14. ellátja az NKI koordinációs tevékenysége keretében érkező, a szervezeti egység hatáskörébe tartozó feladatokat a vonatkozó belső szabályok szerint.

19.4. Az adatszolgáltatói kapcsolatok, minőségbiztosítási és koordinációs osztály
Az adatszolgáltatói kapcsolatok, minőségbiztosítási és koordinációs osztály feladata a Statisztika felelősségi körébe tartozó adatgyűjtés-befogadási feladatok ellátása és a továbbfelhasználókkal megállapodott szabályok szerinti minőségbiztosítása; a több szakstatisztikát érintő, illetve az egész statisztikai szervezetet átfogó tevékenységek koordinálása, a statisztikai tevékenység minőségének és hatékonyságának fejlesztése, az együttműködés erősítése a felhasználókkal, társintézményekkel és kapcsolattartás a nemzetközi intézményekkel. Feladatkörébe tartozik továbbá a Banknak a monetáris politika kialakítására és hatékony vitelére, valamint a pénzügyi stabilitásra vonatkozó feladata ellátását szolgáló konjunktúra, ár- és árfolyam-statisztika összeállítása.
Ennek keretében
19.4.1. a fizetési mérleg osztály, a monetáris statisztikai osztály és a pénzügyi számlák osztálya feladatkörébe tartozó statisztikák és adattárházi adatkörök összeállításához kapcsolódóan
a) ellátja a különböző adatszolgáltatások adatszolgáltatónkénti befogadási és feldolgozási feladatait,
b) támogatja az adatszolgáltatókat az adatgyűjtések kitöltése és a Bankba való beérkezés kapcsán felmerült kérdéseik megválaszolásával;
19.4.2. meghatározza a statisztikai minőségbiztosítás kereteit, fejleszti a folyamatba épített ellenőrzések és a minőségbiztosítás rendszerét, szervezi és minőségbiztosítási szempontból szakirányítja a Statisztika ellenőrzési módszertanainak fejlesztését, feladatkörébe tartozóan aktualizálja és folyamatosan fejleszti az auditkézikönyvet, illetve koordinálja a társosztályok e tevékenységét, érvényre juttatva az egységes minőségi követelményeket;
19.4.3. a fizetési mérleg osztály, a monetáris statisztikai osztály és a pénzügyi számlák osztálya feladatkörébe tartozó statisztikák és adattárházi adatkörök összeállításához kapcsolódóan, a statisztikai tevékenységekre kialakított minőségbiztosítási rendszer követelményeinek megfelelve, hatósági ellenőrzés keretében, folyamatosan ellenőrzi az adatszolgáltatási előírások betartását, ellenőrzi és biztosítja a mikroadatok elvárt adatminőségét, mezo szintű ellenőrzéseket végez;
19.4.4. a Pénzforgalom és értékpapír-elszámolással egyeztetett módszertan alapján folyamatos adatszolgáltatói szintű hatósági ellenőrzést végez a pénzforgalmi adatszolgáltatások tekintetében;
19.4.5. kapcsolatot tart az EKB-val az EKB Kormányzó Tanácsának és Általános Tanácsának tájékoztatására készülő kiadványok (Orange Book, Green Book), valamint a pénzforgalom és értékpapír-elszámolásról összeállított EKB kiadvány (Blue Book) összeállításának támogatására; a pénzforgalmi adatszolgáltatások tekintetében ellátja a Kék Könyv (Bluebook) (CCP, SSS és MFS statisztikák) statisztikai termék-előállítási feladatainak belső koordinálási feladatait, illetve adatszolgáltatási kötelezettség kérdésében egyeztet az EKB-val, koordinálja a KBER Statisztikai Bizottsága (STC) és az Eurostat Monetáris, Pénzügyi és Fizetésimérleg Statisztikai Bizottsága (CMFB) anyagainak véleményezését;
19.4.6. szervezi, koordinálja és minőségbiztosítási szempontból szakirányítja a statisztikai módszertani fejlesztéseket és az alkalmazott becslési eljárási módszerek kidolgozását, illetve felügyeli azok dokumentálását;
19.4.7. az adatszolgáltatók részéről szolgáltatott statisztikai adatok megbízhatóságának, jó minőségének érdekében a vizsgálandó statisztikákra vonatkozó javaslatokkal és a vizsgálatban való részvétellel, az intézkedési tervben foglalt feladatok meghatározásával, valamint a hatósági ellenőrzések során feltárt hiányosságok kiküszöbölésére tett intézkedések nyomon követésével támogatja az eseti helyszínen kívüli, illetve helyszíni hatósági ellenőrzést;
19.4.8. koordinálja a hazai társintézményekkel és a nemzetközi szervezetekkel való kapcsolattartást, valamint ellátja a nemzetközi munkacsoportok üléseivel, beérkező anyagaival kapcsolatos koordinációt;
19.4.9. a társosztályok közreműködésével kidolgozza és karbantartja az értékelésre kijelölt adatszolgáltatók adatszolgáltatási tevékenységének minősítési módszertanát, évente minősíti az adatszolgáltatókat;
19.4.10. a kockázati tényezők mérlegelése alapján megtervezi, megszervezi és koordinálja a helyszínen kívüli, illetve helyszíni hatósági ellenőrzéseket, továbbá a szükség szerinti intézkedések kezdeményezését;
19.4.11. a társadalmi költségtudatosság elvének szem előtt tartásával megszervezi és működteti a Bank saját adatgyűjtési rendszerét, összehangolja az ebben közreműködő szervezeti egységek munkáját, költséghaszon- elemzéseket végez, melynek keretében elkészíti a jegybanki adatszolgáltatási előírásokat, és kidolgozza az ezzel kapcsolatos szabályokat;
19.4.12. teljesíti a statisztikai adatokat használó szervezeti egységekkel megkötött szolgáltatási szerződésekben foglalt feladatokat, és koordinálja a Statisztika egyes osztályaihoz beérkezett felhasználói igényeket; szervezi és irányítja a statisztikai adatokat használó szervezeti egységekkel, illetve a társintézményekkel megkötött szolgáltatási szerződések megkötését, karbantartását és nyomon követi az abban foglaltak teljesülését;
19.4.13. ellátja az MNB képviseletét a KBER Statisztikai bizottságának Általános gazdaság-statisztikai (General Economic Statistics) munkacsoportjában és részt vesz a munkacsoport által egyes célfeladatokra létrehozott ideiglenes szervezetek (Task Force-ok) munkájában;
19.4.14. átveszi és feldolgozza a KSH-tól és más szervektől, illetve intézményektől a jegybanki elemzéshez és döntéshozatalhoz szükséges konjunktúra-statisztikai, ár-, illetve árfolyam-statisztikai adatokat, adatokat szolgáltat a döntéshozók és elemzők részére; a külső felhasználókkal és a statisztikai adatokat felhasználó szervezeti egységekkel folyamatos kapcsolatot tart, az újonnan felmerült igényeket kezeli;
19.4.15. átadja az üzleti intelligencia kompetencia központ részére az adattárházban tárolandó, az osztály feladatkörébe tartozó adatokat, ellátja az adatokkal kapcsolatos szakmai ellenőrzési feladatokat és szakmai kapcsolatot tart az adattárház felhasználóival;
19.4.16. ellátja az NKI koordinációs tevékenysége keretében érkező, a szervezeti egység hatáskörébe tartozó feladatokat a vonatkozó belső szabályok szerint.

19.5. Az üzleti intelligencia kompetencia központ
Az üzleti intelligencia kompetencia központ fő feladata, hogy az adattárházban tárolt adatokat a jegybanki alapfeladatokat ellátó szervezeti egységek számára hozzáférhetővé tegye és lekérdezéssel, illetve adatfeldolgozással támogassa az ezen adatokat felhasználó területek munkáját, továbbá gondoskodjon az adattárház üzemeltetésének felügyeletéről, az adattárház-fejlesztésének menedzseléséről és a karbantartási munkák elvégzéséről, valamint az adattárház felhasználóival való kapcsolattartásról. Az osztály felelősségi körébe tartozik ezen felül a statisztikai információs rendszerek üzemszerű működésének felügyelete, fejlesztése és tartalmi integráltságának biztosítása.
Ennek keretében
19.5.1. gondoskodik az MNB Adattárház középtávú stratégiájának végrehajtásáról, közreműködik az adattárház stratégiájának a Statisztika középtávú stratégiájába történő beillesztésében, és évente felülvizsgálja a középtávra vonatkozó adattárház fejlesztési terveket;
19.5.2. az adatszolgáltatói kapcsolatok, minőségbiztosítási és koordinációs osztálytól, megfelelő bankszakmai ellenőrzések elvégzése mellett, a START és EBEAD rendszerben feldolgozott adatokat rendszeresen átveszi, az adattárházba betölti és azokat tárolja; statisztikai feldolgozást követően átveszi a fizetési mérleg osztálytól, a monetáris statisztikai osztálytól és a pénzügyi számlák osztálytól a feldolgozott és bankszakmailag ellenőrzött, adattárházban tárolandó adatokat;
19.5.3. gondoskodik arról, hogy a külső adatszolgáltatóktól közvetlenül átvett adatok, a megfelelő bankszakmai ellenőrzések elvégzése után, bekerüljenek az adattárházba;
19.5.4. az átvett adatokat a megrendelői csoportok igényei szerint feldolgozza és a kívánt formában tárolja, illetve eljuttatja a felhasználói, illetve statisztikai területhez;
19.5.5. támogatást nyújt az adatgyűjtések tervezésében, kidolgozásában és előkészítésében; visszajelzést ad az adatbefogadási folyamattal kapcsolatban;
19.5.6. biztosítja az adattárház napi folyamatos működését és a felhasználók lekérdezési jogosultságát;
19.5.7. biztosítja az átvett adatoknak a felhasználói körök által meghatározott feldolgozását és az adatok biztonságos tárolását;
19.5.8. kialakítja és karbantartja az adattárház folyamatszabályozását, ehhez kacsolódóan
– meghatározza az adattárház üzemeltetéséhez szükséges folyamatokat és dokumentálja azokat,
– karbantartja a felhasználók adattárházzal kapcsolatos lekérdezési jogosultsági rendszerét,
– kidolgozza az adattárház üzemeltetésére vonatkozó incidenskezelési eljárást,
– gondoskodik a felhasználók megfelelő tájékoztatásáról és a visszajelzések feldolgozásáról;
19.5.9. javaslatot tesz a Statisztika és az Informatikai szolgáltatások vezetője számára az adattárház minőségbiztosítási rendszerének elveire, melynek elfogadása esetén kialakítja és az adatszolgáltatói kapcsolatok, minőségbiztosítási és koordinációs osztály szakirányítása mellett működteti az adattárház folyamatba épített minőségbiztosítási rendszerét;
19.5.10. a minőségbiztosítási rendszer követelményeinek megfelelően gondoskodik az adattárházba került adatok minőségéről, hiba esetén gondoskodik annak elhárításáról, a hibás adatoknak az adatgazdákkal együttműködésben történő javításáról és újratöltéséről;
19.5.11. a statisztikai adatokat használó szervezeti egységekkel megkötött szolgáltatási szerződésekben foglalt feladatokat teljesíti, a felhasználókkal folyamatos kapcsolatot tart; újonnan felmerült igényekről, ezek javasolt kezelési módjáról és egyéb felhasználói visszajelzésekről folyamatosan tájékoztatja az adatszolgáltatói kapcsolatok, minőségbiztosítási és koordinációs osztály vezetőjét;
19.5.12. folyamatosan fogadja és menedzseli az adattárház napi operatív működésével kapcsolatos igényeket és ehhez kapcsolódóan a felhasználói igényeknek megfelelően a minőségbiztosítási rendszer követelményei szerint karbantartja az adattárház architektúráját és töltési folyamatait;
19.5.13. folyamatosan fogadja az adattárház fejlesztési igényeit, ezen igényekről az adattárházi stratégiában elfogadott elveknek megfelelő elemzést és döntés-előkészítő javaslatot készít a Statisztika és az Informatikai szolgáltatások vezetője számára;
19.5.14. a fenti döntési folyamat eredményeképpen az adattárházban megvalósuló fejlesztéseket meghatározza, megtervezi és elvégzi a szükséges fejlesztési feladatokat, illetve külső fejlesztés esetén ellátja a projekt szakmai irányítását a minőségbiztosítási elveknek megfelelően;
19.5.15. részt vesz a PSZÁF–MNB közös adattár és adattárház kidolgozásában;
19.5.16. működteti a statisztikák befogadását, összeállítását biztosító információs rendszert, gondoskodik karbantartásáról és kezdeményezi a fejlesztését, felügyeli a részrendszerek közötti integrációt, koordinálja a több részrendszert érintő változásokat és az incidenskezelés szakterületet érintő feladatait;
19.5.17. előállítja a statisztikai tevékenység ellátásához szükséges regisztertermékeket, kialakítja, üzemelteti és karbantartja a statisztikai folyamatokhoz szükséges regiszterek és egyéb törzsadatok rendszerét, adatforrásait;
19.5.18. tervezéssel támogatja a Statisztika üzleti folyamatainak kialakítását, a meglévő folyamatok fejlesztését, hatékonyságának növelését;
19.5.19. ellátja az MNB képviseletét a KBER Statisztikai Bizottságának Statisztikai információ-menedzsment munkacsoportjában (Working Group on Statistical Information Management) és részt vesz a munkacsoport által egyes célfeladatokra létrehozott ideiglenes szervezetek (Task Force-ok) munkájában;
19.5.21. ellátja az NKI koordinációs tevékenysége keretében érkező, a szervezeti egység hatáskörébe tartozó feladatokat a vonatkozó belső szabályok szerint.

II.20. A Számvitel

A Számvitel a számviteli alapelveket, továbbá a jegybanki sajátosságokat, a Bank funkcióit, az ellenőrzések megállapításait figyelembe véve alakítja a Bank számviteli politikáját, számviteli rendjét, a jogszabályi előírások, a számviteli politika és a számviteli rend alapján végzi a Bank könyvvezetését.
Elemzi a Bank mérleg- és eredményadatait a Bank – MNB tv.-ben meghatározott feladatainak ellátására irányuló – tevékenységéből származó hatások megjelenítésével, valamint kialakítja és működteti a Bank gazdálkodási rendszerét, továbbá e feladataihoz kapcsolódóan a Bank vezetését folyamatosan tájékoztatja, kialakítja és működteti az eredménnyel kapcsolatos belső jelentési rendszert.
A fizetési mérleg és monetáris statisztikai adatszolgáltatási információfelelősként adatszolgáltatói, illetve ezzel kapcsolatos koordinátori feladatokat (kapcsolattartás, hibamenedzselés, változtatások átvezetése) végez.
Képviseli a Bankot a KBER számviteli és monetáris jövedelem bizottságában (AMICO) és annak munkacsoportjaiban.
A szervezeti egység a következő alegységekre tagolódik:
a) bankügyleti számviteli osztály,
b) banküzemi számviteli és pénzügyi osztály.
E szervezeti alegységek között a feladatok az alábbiak szerint oszlanak meg.

20.1. A bankügyleti számviteli osztály
20.1.1. elkészíti és a szervezeti egységek által szolgáltatott törzs- és egyéb adatok alapján karbantartja a Bank főkönyvi számlarendjét és a számlarendi magyarázatot;
20.1.2. elkészíti és karbantartja a Bank gazdálkodási tevékenységéhez kapcsolódó belső szabályokat és irányelveket, kialakítja a gazdálkodás szabályait – ide nem értve pénzügyi tervezést, valamint az évközi gazdálkodás nyomon követését a pénzügyi előirányzatokban – (Gazdálkodási kézikönyv), és a számviteli politikát (Számviteli kézikönyv);
20.1.3. megismeri és figyelemmel kíséri a KBER számviteli szabályait és azok változásait; javaslatot dolgoz ki a harmonizációra;
20.1.4. karbantartja a Bank főkönyvi könyvelését érintő törzsadatokat az SAP és Inforex rendszerekben;
20.1.5. koordinálja a külső és belső számviteli ellenőrzéseket, elkészíti az ellenőrző szervek által igényelt adatszolgáltatásokat, részt vesz a konzultációkon;
20.1.6. a többdevizás főkönyvi könyvelési rendszeren keresztül ellenőrzi a különböző számítástechnikai rendszerekben funkcionáló számlák adatainak összhangját, ellenőrzi és biztosítja az analitikus könyvelési és nyilvántartási adatok egyezőségét a főkönyvi adatokkal, előállítja a főkönyvi kivonatot;
20.1.7. a pénzforgalmi megbízások kivételével ellenőrzi a devizában és forintban bonyolított pénz-, tőke- és devizapiaci ügyletek (összefoglalóan: bankügyletek) könyvelését;
20.1.8. elvégzi a deviza-értékpapíron alapuló követeléseknek és a határidős nyitott pozícióknak az üzleti terület által megküldött adatok alapján történő piaci értékelését és jogszabályok szerinti könyvelését;
20.1.9. tevékenységéhez kapcsolódóan közvetlen főkönyvi könyvelési feladatokat lát el;
20.1.10. ellenőrzi a devizaállományok átértékelésének és a realizált forintárfolyam elszámolásának helyességét;
20.1.11. nyilvántartja a Bank külföldi befektetéseit;
20.1.12. a saját és a szervezeti egységektől bekért adatok alapján összeállítja az IMF és EKB által a devizatartalékokról és a devizalikviditásról előírt speciális adatszolgáltatás Bankra vonatkozó részét;
20.1.13. végrehajtja az időszaki és az év végi zárlati munkákat;
20.1.14. részt vesz az Inforex és SAP rendszerfejlesztéseiben, tesztelésében;
20.1.15. összeállítja, tartalmilag szerkeszti a Bank – üzleti jelentést és az éves beszámolót tartalmazó – Éves Jelentését;
20.1.16. elemzi a Bank évközi mérlegét és eredménykimutatását, erről negyedévente jelentést készít a Vezetői bizottság, a felügyelőbizottság és a Nemzetgazdasági Minisztérium részére;
20.1.17. a monetáris programot, valamint a gazdasági-pénzügyi folyamatok számviteli hatását figyelembe véve éves gyakorisággal középtávú eredményprognózist állít össze, és erről tájékoztatót készít a Vezetői bizottság számára;
20.1.18. hetente tájékoztatja az államháztartásért felelős minisztert a végrehajtott devizaműveletekről, valamint az arany- és devizatartalékról;
20.1.19. szervezi és teljesíti a monetáris statisztikával és fizetésimérleg-statisztikával kapcsolatos statisztikai adatszolgáltatást, valamint az egyéb külső szervezetek (Állami Számvevőszék, Nemzetgazdasági Minisztérium, KSH stb.) részére történő a belső gazdálkodással kapcsolatos, főkönyvi adatokon alapuló adatszolgáltatásokat;
20.1.20. a beszerzési utasítás előírásainak megfelelően szükség szerint részt vesz a beszerzési eljárások lebonyolításában;
20.1.21. ellátja az NKI koordinációs tevékenysége keretében érkező, a szervezeti egység hatáskörébe tartozó feladatokat a vonatkozó belső szabályok szerint.

20.2. A banküzemi számviteli és pénzügyi osztály
20.2.1. nyilvántartja és bevallja a Bank adó- és járulékfizetési kötelezettségét, intézkedik annak pénzügyi rendezéséről, adózási kérdésekben szakértői támogatást nyújt a Bank szervezeti egységeinek;
20.2.2. koordinálja az adóellenőrzéseket, elkészíti a NAV és egyéb számviteli ellenőrző szervek által igényelt adatszolgáltatásokat, részt vesz a konzultációkon;
20.2.3. végrehajtja az időszaki és az év végi zárlati munkákat;
20.2.4. tevékenységéhez kapcsolódóan közvetlen főkönyvi könyvelési feladatokat lát el;
20.2.5. értékbeni és a szintetikus könyvelés követelményeihez igazodó nyilvántartást vezet a Bank tárgyi eszközeiről, az immateriális javakról, a befektetett pénzügyi eszközökről;
20.2.6. lebonyolítja a Bank gazdálkodásával kapcsolatos fizetési forgalmat, gondoskodik a fizetési kötelezettségek határidőre történő teljesítéséről;
20.2.7. számlázási feladatokat lát el a Bank eszközértékesítésével és szolgáltatásnyújtásával kapcsolatban;
20.2.8. analitikus nyilvántartást vezet a Bank gazdálkodásával kapcsolatban a beérkező és kimenő számlákról, valamint elvégzi az ehhez szükséges szállítói és vevői törzsadat-karbantartást az SAP-rendszerben;
20.2.9. elvégzi a munkavállalókkal kapcsolatos, munkajövedelmen kívüli, valamint egyéb elszámolási és nyilvántartási feladatokat;
20.2.10. teljesíti a Bank szállítói körével és beruházásaival kapcsolatos KSH-adatszolgáltatást;
20.2.11. a Bank gazdálkodásával kapcsolatban felmerülő készpénzes számlák kifizetésére házipénztárt működtet;
20.2.12. a költséggazdák által kötött szállítói szerződéseket, illetve a költséggazdák által indított megrendeléseket rögzíti az SAP-rendszerben, a beérkező szállítói számlákat ellenőrzi a vonatkozó jogszabályi előírásoknak való formai és tartalmi megfelelés szempontjából;
20.2.13. a beérkezett szállítói számlákat hozzárendeli a költséggazdák által már teljesítésigazolt megrendelésekhez a SAP-rendszerben; elindítja az elektronikus utalványozási folyamatot; könyveli a költséggazdák által utalványozott számlákat; kezeli és aktualizálja a saját tevékenységéhez szükséges nyilvántartásokat;
20.2.14. lebonyolítja a külföldi kiküldetésekkel kapcsolatban hatáskörébe utalt teendőket, a külföldi kiküldetések teljes körű szervezését külső iroda bevonásával bonyolítja, nyilvántartást vezet, gondoskodik a külföldi kiküldetéssel utazók bankkártyákkal történő ellátásáról, karbantartja az utazással összefüggő személyi törzsadat állományt az SAP-rendszerben; működteti az SAP utazás menedzsment modulját, és elkészíti a külföldi kiküldetésekkel kapcsolatos elszámolásokat;
20.2.15. működteti a beszerzési igénykezelő (SRM) rendszert;
20.2.16. ellátja az SAP bankszakmai felelősi funkciókat, felhasználói támogatói tevékenységet végez részt vesz a rendszerfejlesztésekben és tesztelésekben;
20.2.17. ellátja az NKI koordinációs tevékenysége keretében érkező, a szervezeti egység hatáskörébe tartozó feladatokat a vonatkozó belső szabályok szerint.

Melléklet


A Magyar Nemzeti Bank munkaszervezete
2012. január 17.


A Magyar Nemzeti Bank mint részvénytársaság szervezeti felépítése
2012. január 17.

1

Az utasítást a 2/2012. (IV. 5.) MNB utasítás 2. § (2) bekezdése hatályon kívül helyezte 2012. április 6. napjával.

  • Másolás a vágólapra
  • Nyomtatás
  • Hatályos
  • Már nem hatályos
  • Még nem hatályos
  • Módosulni fog
  • Időállapotok
  • Adott napon hatályos
  • Közlönyállapot
  • Indokolás
Jelmagyarázat Lap tetejére